Herschel-Bulkley-Cross-WLF viscosity model
The Herschel-Bulkley-Cross-WLF viscosity model extends the standard Cross-WLF model by incorporating yield stress behavior at low shear rates. It is available for thermoplastic materials. A related Herschel-Bulkley-WLF viscosity model is available for thermoset materials.
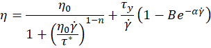
This viscosity model is defined by the following equation:

where:
is the melt viscosity (Pa s), and
is the shear rate (1/s).
The equation consists of two components: the first term represents the Cross-WLF viscosity model, and the second term is the Herschel-Bulkley extension, where:
,
is the temperature (K),
is the regularization parameter (s),
is a scalar (typically 1 or 0) that enables or disables the regularization, and
,
,
and
are model coefficients.
