Description
The STRESS Case Control command requests element strain output.
Format
STRESS
Example
STRESS
Remarks
- ELSTRESS is an alternate form and is identical to STRESS.
- Stresses are written at a single point for each element for solid elements. The top and bottom stress values are written for shell elements. Stresses are written for a single point for each ply for composite shell elements.
- This command will output all stress tensor components, the von Mises stress, and pressure for all elements.
- The invariant quantities, von Mises stress and pressure, are defined as follows:
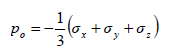
For solid elements, the mean pressure is defined as:
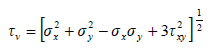
For solid elements, the von Mises equivalent stress is defined as:
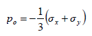
Shell elements are defined by a state of plane stress. The mean pressure is:
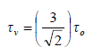
The von Mises stress for shell elements is: