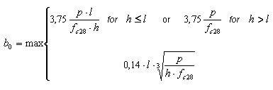
The minimum thickness of a deep beam should equal
If a deep beam is sufficiently stiffened longitudinally in both the upper and the lower zone (stiffening elements reach the supports), then the first condition should additionally cover the verification of the following relation:
(p/h*fc28).
