Share
 
 

Cracking Calculation for the Italian Code DM/14/1/2008

Cracking calculation for Italian code MINISTERO DEI LAVORI PUBBLICI DECRETO 14 GENNAIO 2008:

The detailed requirements according to point B.6.6.3 are as follows:

  • Cracking calculation based on 4.3.1.7.1.3 {1}

    .

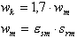
  • Calculation of s rm - the average crack spacing, according to 6.6.3 {2}

    where:

    c - Reinforcement cover.

    s - Bar spacing ≤ 14φ.

    k 2 - Coefficient:

    k 2 = 0.4 for ribbed bars.

    k 2 = 0.8 for plain bars.

    k 3 - Coefficient:

    k 3 = 0.125 for bending and bending with compression.

    k 3 = 0.250 for simple tension.

    k 3 = 0.25 * (σ1 + σ2) / 2 σ1 for simple tension.

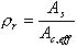
  • Calculation of Ac,eff based on figure 4 {2}

    A c,eff = b eff * h eff

    For sections entirely in tension b eff ≤ 40 cm and h eff ≤ 40 cm.

    For slabs in bending h eff ≤ (h * x) / 2, where x is the height of the zone in compression.

    c - Reinforcement cover ≤ 7.5φ

    s - Bar spacing

    if s < 14φ:

    b eff = B - section width.

    h eff = c + 7.5φ.

    if s > 14φ: calculations for each bar individually.

    beff = (14 + 1)φ - For slabs and internal bars of beams.

    beff = c + 7.5φ - For corner bars.

    heff = c + 7.5φ.

    Ac,eff = Σ (b eff * h eff ).

  • Calculation of the average strain of the reinforcement in tension according to 6.6.3 {2}, from the real stress distribution for the states before and after cracking.

    σ s - Stress in the reinforcement in tension for the section through a crack.

    σ sr - Stress in reinforcement in tension for which the outermost concrete fibers reach the stress level equal to f ctm . These calculations do not account for the reinforcing steel in section properties.

    β 1 - Coefficient:

    β 1 = 1.0 for ribbed bars.

    β 1 = 0.5 for plain bars.

    β 2 - Coefficient:

    β 2 = 1.0 for a single short-term load.

    β2 = 0.5 for long-term loads or loads repeating many times.

Was this information helpful?