Parametry analizy sejsmicznej konstrukcji zależą od wyboru normy sejsmicznej, która będzie wykorzystywana podczas obliczeń konstrukcji poddanej wpływom obciążeń sejsmicznych.
Należy wybrać normę sejsmiczną IBC 2009 (International Building Code 2009) lub IBC 2012 (International Building Code 2012) w oknie dialogowym Definicja nowego przypadku lub kliknąć przycisk Parametry w oknie dialogowym Opcje obliczeniowe.

Aby przeprowadzić analizę sejsmiczną według zasad podanych w tej normie, należy zdefiniować następujące parametry:
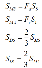
Współczynniki terenu Fa i Fv są interpolowane na podstawie parametrów S1 i SS.
Parametry obliczeniowe przyspieszenia charakterystyki widmowej są obliczane na podstawie następującego równania:

Naciśnięcie klawisza Definicja mimośrodu powoduje otwarcie okna dialogowego Definicja mimośrodów masy, w którym określony może zostać sposób uwzględnienia przesunięcia masy o mimośród w analizie sejsmicznej.
Kliknij opcję Ścinanie bazowe, aby otworzyć okno dialogowe Ścinanie bazowe. W tym oknie dialogowym wybrany może być sposób uwzględniania bazowej siły ścinającej: może być ona obliczana na podstawie zasad normy sejsmicznej ASCE 7-05, rozdział 12.8 lub definiowana ręcznie przez użytkownika.
W dolnej części okna dialogowego znajdują się dwa klawisze: Definicja kierunku i Filtry.
Szczegóły dotyczące tej metody analizy konstrukcji można znaleźć w wymienionej normie.