Symulacja obciążenia wiatrem nie zapewnia całkowicie stabilnych wyników, ponieważ jest to dynamiczny proces zmieniający się w czasie.
Aby rozwiązać ten problem, program mierzy wypadkową zbieżność całkowitych sił wypadkowych w określonym przedziale czasu.
.
.
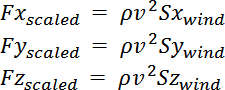
. Siły wypadkowe zależą od wielkości modelu. Aby prawidłowo skalować siły wypadkowe, program wykorzystuje ciśnienie dynamiczne
i wartości powierzchni
,
i
.
Wartości powierzchni są używane do skalowania odpowiednich sił.
To podejście pozwala zneutralizować dysproporcje modelu w kierunkach wiatru X, Y i Z.
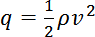
reprezentuje nacisk dynamiczny podawany w paskalach.
określa gęstość płynu w kg/m3.
reprezentuje prędkość płynu w m/s.
odpowiada obszarowi pokrywanemu przez rzutowanie wszystkich trójkątów modelu na płaszczyznę prostopadłą do osi X kierunku wiatru.
odpowiada obszarowi pokrywanemu przez rzutowanie wszystkich trójkątów modelu na płaszczyznę prostopadłą do osi Y kierunku wiatru.
odpowiada obszarowi pokrywanemu przez rzutowanie wszystkich trójkątów modelu na płaszczyznę prostopadłą do osi Z kierunku wiatru. Siły skalowane są obliczane w następujący sposób:

Aby zmierzyć zbieżność sił całkowitych w zadanym okresie, siły wypadkowe
,
i
są obliczane i przechowywane dla liczby kroków n, a następnie maksymalna zmiana w danej chwili jest obliczana w następujący sposób:

Gdzie:
,
i
reprezentują przechowywane wartości
,
i
dla danego kroku oraz dla i = 1 do N.
Te maksymalne zmiany siły są skalowane odpowiednio według
,
i
i wyświetlane w postaci procentowej.
Ostateczny wynik jest maksymalną z tych trzech skalowanych wartości:

Gdzie:
= 0,5%, np. domyślny współczynnik odchyłki obciążenia.
n oznacza liczbę etapów symulacji, dla których
,
i
są przechowywane w celu porównania z bieżącym etapem. Domyślna wartość n wynosi 10.