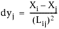
A alteração nas coordenadas para cada observação é expressa nas seguintes aproximações de série de Taylor da equação de observação de ângulo
onde
- Lij = o comprimento da linha IJ observado
- Lik = o comprimento da linha IK observado
- Lik = o comprimento da linha IK observado
- Xi, Yi = as mais prováveis coordenadas de ponto I
- Xj, Yj = as mais prováveis coordenadas de ponto J
- Xj, Yj = as mais prováveis coordenadas de ponto K
A ilustração a seguir mostra a geometria da equação de observação de ângulo: