AutoCAD Civil 3D может рассчитывать величины, используя геометрическое определение вертикальной кривой, информацию о ТВП, а также высоту объекта и уровень глаз водителя.
Эти значения определяются на основе эмпирических уравнений, проектная скорость для их вычисления не используется.
Для выпуклой кривой используются расстояние видимости для обгона и расстояние видимости остановочного пути, потому что верхняя часть кривой может скрывать от обзора водителя поверхность дороги или другие объекты.
Расстояние видимости для обгона и расстояние видимости остановочного пути не используются для вогнутой кривой, так как в данном случае верхняя часть кривой не скрывает от обзора водителя поверхность дороги или другие объекты. При дневном освещении в условиях хорошей видимости водитель полностью видит дорогу на вогнутой кривой. В ночное время обзор водителя ограничен расстоянием, освещаемым фарами. Для проектирования вогнутой кривой можно использовать расстояние видимости при свете фар.
Просмотреть эти свойства в AutoCAD Civil 3D 2015 можно с помощью редактора компонентов текста. В области инструментов на вкладке "Параметры" разверните узел "Профиль"
"Стили меток"
"Кривая". Дважды щелкните стиль меток по умолчанию для выпуклых и вогнутых кривых. Выберите вкладку "Компоновка". В области "Имя компонента" выберите элемент, например BVC. В редакторе компонентов текста щелчком на стрелке раскрывающегося списка в области "Свойства" выведите на экран список свойств. Просмотрите такие свойства, как "Дальность видимости света фар", "Расстояние видимости при обгоне" и др.
Расстояние видимости при обгоне — это расстояние, на котором водитель способен заметить приближающийся автомобиль и определить, успеет ли он выполнить обгон. Расстояние видимости при обгоне не часто используется при проектировании выпуклых кривых, так как обычно невозможно использовать длину кривой, соответствующую критериям видимости при обгоне.
Расстояние видимости остановочного пути часто применяется в качестве критерия для определения длины кривой и представляет собой расстояние, на котором водитель способен заметить препятствие на дороге. Требования к расстоянию видимости при обгоне и к расстоянию видимости остановочного пути определены в нормативах, принятых надзорными органами.
Для вычисления длины выпуклых кривых с учетом расстояния видимости при обгоне и расстояния видимости остановочного пути используются следующие уравнения.
где:
L = длина вертикальной кривой в футах (или метрах)
S = расстояние видимости в футах (или метрах)
A = относительная разность уклона в процентах (%)
h1 = высота глаз наблюдателя над поверхностью дороги в футах (или метрах)
h2 = высота объекта над поверхностью дороги в футах (или метрах)
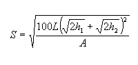
В следующем уравнении определяется величина L, если S меньше L:

В следующем уравнении определяется величина S, если L меньше L:

В следующем уравнении определяется L, если S больше или равно L:

В следующем уравнении определяется S, если S больше или равно L:

В ночное время расстояние видимости определяется дальностью освещения передними фарами автомобиля. Вогнутая кривая пересекает луч света передних фар на поверхности дорожного полотна и ограничивает дальность освещения фарами. Дальность видимости света фар позволяет определить длину кривой на основании высоты луча фар над дорожным полотном и максимального угла фар. Также учитывается высота глаз водителя.
Для создания вогнутых кривых используются следующие формулы дальности освещения фарами.
где:
A = относительная разность уклона в процентах (%)
hd = высота света фар над дорожным полотном в футах (или метрах)
L = длина вертикальной кривой в футах (или метрах)
S = расстояние видимости в футах (или метрах)
Ø = угол отклонения луча фар от горизонтали (обычно 1 градус)
В следующем уравнении определяется величина L, если S меньше L:

В следующем уравнении определяется величина S, если L меньше L:

В следующем уравнении определяется L, если S больше или равно L:

В следующем уравнении определяется S, если S больше или равно L:
