Моделирование ветра не приводит к получению полностью устойчивых результатов, так как это изменение динамического процесса во времени.
Чтобы решить эту проблему, программа измеряет полученную сходимость усилий за определенный период времени.
.
.
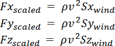
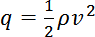
. Результирующие силы зависят от размера модели. Для правильного определения масштаба результирующих сил программа использует динамическое давление
и поверхностные величины
,
и
.
Поверхностные величины используются для масштабирования соответствующих сил.
Этот подход позволяет нейтрализовать нарушения пропорций модели в направлениях ветра x, y и z.
— динамическое давление в Паскалях.
— плотность жидкости в кг/м3.
— скорость жидкости в м/с.
соответствует той области, которую покрывает проекция всех треугольников модели на плоскости, перпендикулярной оси X направления ветра.
соответствует той области, которую покрывает проекция всех треугольников модели в плоскости, перпендикулярной оси Y направления ветра.
соответствует той области, которую покрывает проекция всех треугольников модели в плоскости, перпендикулярной оси Z направления ветра. Масштабируемые силы рассчитываются следующим образом:

Для измерения сходимости общих сил за определенный период времени результирующие силы
,
и
рассчитываются и хранятся для количества шагов n, а затем максимальное изменение на определенный момент вычисляется следующим образом:

где
,
и
являются хранимыми значениями
,
и
для каждого шага и для i = 1 на n.
Максимальные изменения силы затем масштабируются как
,
и
и отображаются в процентах.
Окончательные метрические единицы — это максимальные значения этих трех масштабируемых значений:

где
= 0,5%, т.е. коэффициент отклонения нагрузки по умолчанию.
n — число шагов моделирования, для которых
,
и
сохраняются для сравнения с текущим шагом. По умолчанию значение n = 10.