有四种乘子可在其应用到模型时控制不同静电载荷的数值。它们位于“分析参数”对话框的“常规”选项卡中。“边界电压乘子”字段中的值乘以模型中任一指定电压的数值。“电流或电荷源乘子”字段中的值乘以模型上的任何电荷或电流载荷数值。
除“边界电压乘子”字段以外,上述任一字段中的零值均会在模型中禁用该类型的载荷。“边界电压乘子”字段中的值 0 可将指定电压的数值更改为 0。
对于二维模型,如果激活“分析参数”对话框的“选项”选项卡中的“调用流路生成器”复选框,则计算流经模型的无质量粒子的理论路径。这些结果可在“结果”环境中查看。
您可以针对各个模型表面(通常是材料之间的边界)计算静电场引起的力。若要计算这些力,请在“分析参数”对话框的“选项”选项卡中,激活“调用力/电荷计算”复选框。在“力/电荷输出”表中,指定要计算这些力的部件和表面。(有关更改部件和表面编号的详细信息,请参见修改和复制属性页面(如果需要)。)
由于通常计算两个部件之间的边界上的静电力,因此为力生成器指定的部件和表面编号可以位于其中一个或全部两个互相接触(例如,导体和空气)的实体上。哪个表面正确?
首先,确定显示力的位置。然后,将表面指定为模型中的“配合”部件表面。例如,若要获得施加给导体的力,请对力生成器使用空气的表面编号。对于施加给空气的力,请使用导体表面的表面编号。
由于施加在匹配部件(在此示例中,即空气和导体)上的力应该大小相等、方向相反,因此您可能会认为只要方向(正或负)并不是非常关键,为表面编号选择的部件便无关紧要。实际上,这是不正确的。库仑力对表面的电场和网格尺寸变化非常敏感。网格越小,结果越精确。电场的变化越大,力就越大。大多数实体的介电常数均大于 1(空气/真空),因此实体中的电场变化幅度小于空气。与空气表面相比,若要从实体表面获得准确的力,则需要尺寸更小的网格。
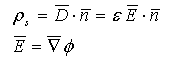
传导表面的力控制方程如下所示:

其中,表面积分结转到传导表面区域

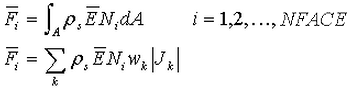
对于典型单元:

其中
ρ s = 表面的电荷密度
E = 静电场
N i 、w k 、J k = 为该区域指定的形状和重量函数以及雅克比
力生成器的结果可以显示在“结果”环境中(“结果等值线” “电压和场强度”
“电压和场强度” “静电力”)。此外,还可以对应力模型施加这些力来计算静电力产生的效应。请参见力页面上的“从静电分析导入反作用力”段落。
“静电力”)。此外,还可以对应力模型施加这些力来计算静电力产生的效应。请参见力页面上的“从静电分析导入反作用力”段落。 
如果施加适当的载荷,则静电电荷可用于计算一组导体的电容。必须将每个导体的外部表面放置在唯一表面中。如果模型包含三个导体,则分别将 1V 和 0V 电压应用于导体之一(主导体)和其他导体。在“结果”环境中,合计主导体表面上的静电电荷。这是导体的自电容。剩余两个导体上的静电电荷之和是该导体与主导体之间的互电容。您可以使用不同的主导体重复此过程,从而创建电容矩阵。
在“分析参数”对话框的“解”选项卡上的“求解器类型”下拉框中,可以选择静电分析的求解器类型。另请参见可用的求解器类型,了解背景信息。可用的选项如下所示:
如果出于某些原因,您需要在不执行分析的情况下创建求解矩阵,请激活“刚度计算后停止”复选框。仅当必须访问方程编号矩阵时,此复选框才有用。否则,系统在运行分析时始终计算刚度矩阵,因此正常情况下使用此选项没有益处。
对于稀疏和迭代求解器,“内存分配百分比”字段可控制有多少 RAM 可用于读取单元数据并装配矩阵。建议使用较小的值。(如果值小于或等于 100%,则使用可用的物理内存。如果此输入的值大于 100%,则内存分配将使用可用的物理内存和虚拟内存。)
如上所示,某些求解器可利用计算机上的多个线程/内核。在这些情况下,将启用“线程/内核数”下拉菜单控件。您需要使用所有可用的线程/内核来确保以最快速度求解。但是,如果您需要在分析的同时利用某些计算能力运行其他应用程序,则可能会选择使用较少的线程/内核。
选择后,系统将启用“迭代求解器”部分。此部分的输入如下:
选择后,系统将启用“稀疏求解器”部分。此部分的输入如下:
分析完成后,分析结果可输出到文本文件。在“分析参数”对话框中的“输出”选项卡中,可控制输出到此文件的数据。
有两种方法可处理粘合连接。具体使用的方法部分取决于两个部件之间的节点是否匹配。
如果激活“启用智能粘合/焊接接触”选项,则将在必要时使用多点约束 (MPC) 方程来粘合部件 A、表面 B、部件 C 上的最近节点以及表面 D。形状函数会将表面 B 上的节点电位插入表面 D 上的节点。因此,各部件之间的网格无需匹配。无论节点是否匹配,MPC 均可用于表面接触对上的所有节点。如果网格不匹配所有节点,则使用节点匹配来粘合接触表面。相邻部件上的两个顶点将收拢为一个节点,且 MPC 方程不会用于接触表面。“智能粘合”下拉菜单的选项如下:
“智能粘合”选项适用于粘合接触和焊接接触。其他接触类型(除“自由接触”外)均需节点匹配。有关定义接触和使用智能粘合的阐述,请参见接触类型页面。
 默认情况下,智能粘合将使用压缩方法对分析求解。如果发现分析未收敛或未按预期执行,则可尝试对 MPC 方程使用不同的“求解方法”。请参见多点约束。单击“设置” “载荷”
“载荷” “多点约束”,并从“求解方法”选项中选择。如果使用“罚函数方法”,则解的精确度将由“罚函数乘子”字段控制。罚函数求解期间会将罚函数乘子乘以模型中的最大对角线刚度。建议使用 102 到 104 之间的值。
“多点约束”,并从“求解方法”选项中选择。如果使用“罚函数方法”,则解的精确度将由“罚函数乘子”字段控制。罚函数求解期间会将罚函数乘子乘以模型中的最大对角线刚度。建议使用 102 到 104 之间的值。 
如果未激活“启用智能粘合/焊接接触”选项,则部件仅在各部件之间的节点匹配时粘合。