Van der Waals-Materialeigenschaften

Das Van der Waals-Materialmodell ist ein hyperelastisches Materialmodell und steht für 2D-, Ziegel-, und Tetraeder-Elemente zur Verfügung. Die Materialeigenschaften sind unten aufgeführt.

Klicken Sie auf die Schaltfläche Kurvenanpassung im Dialogfeld Elementenmaterial angeben, um die Kurve einpassen-Routine zu verwenden. Diese Routine berechnet die Materialkonstanten anhand von Spannungs-/Dehnungsdaten.

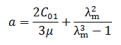
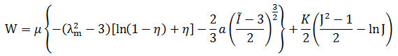
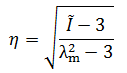
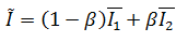
Die potenzielle Funktion des Van der Waals-Materials lautet wie folgt:

Dabei gilt:

Materialeigenschaften: