Ogden-Materialeigenschaften

Dieses Materialmodell ist für 2D-, Ziegel-, Tetraeder-, Membran- und Schalenelemente verfügbar. Das Ogden-Materialmodell ist ein hyperelastisches Material, das drei Materialkonstanten aufweist. Wenn Sie auf die Schaltfläche Kurvenanpassung im Dialogfeld Elementenmaterial angeben klicken, können Sie experimentelle Spannung-Dehnung-Daten eingeben. Die drei Materialkonstanten werden anhand der experimentellen Spannung-Dehnung-Daten berechnet. Die Software unterstützt ein Ogden-Material bis zur sechsten Ordnung. Die Ogden-Materialeigenschaften sind unten aufgeführt. Zusätzlich zu diesen Eigenschaften kann es notwendig sein, einige Isotrope Materialeigenschaften zu definieren.

Klicken Sie auf die Schaltfläche Kurvenanpassung im Dialogfeld Elementenmaterial angeben, um die Kurve einpassen-Routine zu verwenden. Diese Routine berechnet die Materialkonstanten anhand von Spannungs-/Dehnungsdaten.

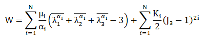
Die potenzielle Funktion des Ogden-Materials ist wie folgt:

Wenn N=2, α1=2, und α2=-2, ergibt sich das Mooney-Rivlin-Materialmodell. Wenn N=1 und α1=2, dann degeneriert das Ogden'sche Modell zum neo-hookeschen Materialmodell. In der Ogden-Form hängt das anfängliche Schermodul µ0von allen Koeffizienten ab:

wobei μiαi > 0, i = 1,..,N

Das ursprüngliche Massenmodul leitet sich wie folgt ab:

k0 = K1

Referenzen

[1] R.W.Ogden et al, Fitting hyperelastic models to experimental data, Computational Mechanics 34 (2004) 484-502.

[2] L.R.G. Treloar, Stress-strain data for vulcanized rubber under various types of deformation, Trans. Faraday Soc. (40) 59-70.

Materialeigenschaften