Materialeigenschaften von Hyperfoam (Schaumstoff)

Dieses Materialmodell ist für 2D-, Quader- und Tetraederelemente verfügbar. Das Hyperfoam-Materialmodell ist ein hyperelastisches Materialmodell, das komprimierbar ist und über drei Materialkonstanten verfügt. Wenn Sie auf die Schaltfläche Kurvenanpassung im Dialogfeld Elementenmaterial angeben klicken, können Sie experimentelle Spannung-Dehnung-Daten eingeben. Die drei Materialkonstanten werden anhand der experimentellen Spannung-Dehnung-Daten berechnet. Die Hyperfoam-Materialeigenschaften sind unten aufgeführt. Zusätzlich zu diesen Eigenschaften kann es notwendig sein, einige Isotrope Materialeigenschaften zu definieren.

Klicken Sie auf die Schaltfläche Kurvenanpassung im Dialogfeld Elementenmaterial angeben, um die Kurve einpassen-Routine zu verwenden. Diese Routine berechnet die Materialkonstanten anhand von Spannungs-/Dehnungsdaten.

Die Potenzialfunktion des Materials lautet wie folgt:

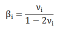
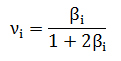
Ein stabiles Material wird erhalten, wenn βi > -1/3. βi bezieht sich durch die folgenden Ausdrücke auf die Poissonsche Konstante:

,

Das ursprüngliche Schermodul leitet sich ab aus:

wobei μiαi > 0, i = 1,..,N

Das ursprüngliche Massenmodul leitet sich wie folgt ab:

Mu

Dies ist die erste Konstante des Hyperfoam-Materialmodells (μi). Sie muss für jede Ordnung des Hyperfoam-Materialmodells verwendet werden.

Alpha

Dies ist die zweite Konstante des Hyperfoam-Materialmodells (αi). Sie muss für jede Ordnung des Hyperfoam-Materialmodells verwendet werden.

Beta

Beta (β) ist eine Konstante für die Poissonsche Konstante (ν), wie oben beschrieben.