Différentes courbes de transition sont utilisées en génie civil pour introduire progressivement courbure et dévers entre des tangentes et des courbes circulaires ou entre deux courbes circulaires de courbure différente.
Du point de vue de sa relation aux autres tangentes et courbes, chaque clothoïde est soit une courbe intérieure, soit une courbe extérieure.
Les deux paramètres les plus fréquemment utilisés par les ingénieurs dans la conception d'une clothoïde sont la longueur de clothoïde (L) et le rayon de courbe circulaire (R).
L'illustration suivante présente les différents paramètres d'une clothoïde :
| Paramètre de clothoïde | Description |
| i1 | L'angle central de la courbe spiralisée L1, qui constitue l'angle de la clothoïde. |
| i2 | L'angle central de la courbe spiralisée L2, qui constitue l'angle de la clothoïde. |
| T1 | La distance de tangente totale de PI à TS. |
| T2 | La distance de tangente totale de PI à ST. |
| X1 | La distance de tangente à SC depuis TS. |
| X2 | La distance de tangente à CS depuis ST. |
| Y1 | La distance de décalage de tangente à SC depuis TS. |
| Y2 | La distance de décalage de tangente à CS depuis ST. |
| P1 | Le décalage de la tangente initiale jusqu'au PC de la courbe décalée. |
| P2 | Le décalage de la tangente initiale à partir du PT de la courbe décalée. |
| K1 | L'abscisse du PC décalé par rapport au TS. |
| K2 | L'abscisse du PT décalé par rapport au ST. |
| LT1 | La tangente longue de la clothoïde intérieure. |
| LT2 | La tangente longue de la clothoïde extérieure. |
| ST1 | La tangente courte de la clothoïde intérieure. |
| ST2 | La tangente courte de la clothoïde extérieure. |
| Autres paramètres de clothoïde. | |
| A1 | La valeur A est égale à la racine carrée de la longueur de la clothoïde multiplié par le rayon. Une mesure de la planéité de la clothoïde. |
| A2 | La valeur A est égale à la racine carrée de la longueur de la clothoïde multiplié par le rayon. Une mesure de la planéité de la clothoïde. |
Formule
Les clothoïdes composées fournissent une transition entre deux courbes circulaires de rayons différents. Comme la clothoïde simple, la clothoïde composée garantit la continuité de la fonction de courbure et fournit un moyen d'introduire une transition progressive dans le dévers.
Parmi les différents types de clothoïde pris en charge par AutoCAD Civil 3D, Clothoïde est le plus fréquemment utilisé. La clothoïde est utilisée dans le monde entier dans la conception des routes ainsi que des voies ferrées.
Initialement étudiée par le mathématicien suisse Leonard Euler, la fonction de courbure de la clothoïde est une fonction linéaire prévoyant une courbure nulle (0) là où la clothoïde rencontre la tangente. La courbure augmente ensuite de manière linéaire jusqu'à ce qu'elle soit égale à la courbe adjacente au point où la clothoïde et la courbe se rencontrent.
Un tel axe assure la continuité de la fonction de position et de sa dérivée première (azimut local), tout comme avec une tangente et une courbe à un point de courbure (PC). Cependant, à la différence d'une courbe simple, il maintient également la continuité de la dérivée seconde (courbure locale), qui devient de plus en plus importante avec l'accroissement de la vitesse.
Formule
Les clothoïdes peuvent être calculées à l'aide de l'expression suivante :
Planéité de la clothoïde :
Angle total sous-tendu par la clothoïde :
Distance de tangente au point clothoïde-courbe depuis le point tangente-clothoïde :
Distance de décalage de tangente au point clothoïde-courbe depuis le point tangente-clothoïde :

Plutôt qu'une clothoïde, vous pouvez utiliser comme transition la clothoïde de Bloss avec la parabole des cinquièmes degrés. Cette clothoïde offre un avantage sur la clothoïde dans la mesure où le décalage P est plus petit, ce qui produit une transition plus longue, avec une extension de clothoïde plus importante (k). Ce facteur est important pour la conception de rails.
Formule
Les clothoïdes de Bloss peuvent être calculées à l'aide de l'expression suivante :

Autres expressions clés :
Distance de tangente au point clothoïde-courbe depuis le point tangente-clothoïde :

Distance de décalage de tangente au point clothoïde-courbe depuis le point tangente-clothoïde :
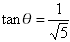
Ces courbes représentent une trajectoire de courbure constante et s'appliquent à des déflexions de tangente pouvant être comprises entre 0 et 90 degrés. Néanmoins, les courbes sinusoïdales sont rarement utilisées car elles sont plus raides que les clothoïdes et il est par ailleurs difficile de les présenter sous forme de tableau et de les délimiter.
Formule
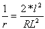
Les courbes sinusoïdales peuvent être calculées à l'aide de l'expression suivante :

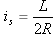
où r est le rayon de courbure d'un point donné.
Cette forme d'équation est fréquemment utilisée au Japon pour la conception de voies ferrées. Cette courbe est utile dans les cas où vous avez besoin d'une transition efficace dans la modification de la courbure pour de faibles angles de déflexion (compte tenu de la dynamique des véhicules).
Formule
Les courbes de type tangente décroissante de demi-longueur d'onde sinusoïdale peuvent être calculées à l'aide de l'expression suivante :
où
et x correspondent à la distance comprise entre le début de la courbe et un point de celle-ci, mesurée sur la tangente initiale (étendue) ; X correspond à la valeur X totale à l'extrémité de la courbe de transition.
Autres expressions clés :
Distance de tangente au point clothoïde-courbe depuis le point tangente-clothoïde :

Distance de décalage de tangente au point clothoïde-courbe depuis le point tangente-clothoïde :

Les paraboles cubiques convergent moins rapidement que les clothoïdes cubiques, c'est la raison pour laquelle elles sont couramment utilisées lors de la conception de rails et d'autoroutes.
Formule
Rayon minimum de parabole cubique
Le rayon à un point donné d'une parabole cubique correspond à :
Une parabole cubique atteint une valeur r minimale à :
Donc
Un rayon de parabole cubique diminue de l'infini à
à 24 degrés, 5 minutes, 41 secondes, puis augmente à nouveau. Par conséquent, les paraboles cubiques sont inutiles pour les déflexions supérieures à 24 degrés.
Cette transition a été développée pour répondre aux exigences rencontrées au Japon. Des approximations de la clothoïde ont été développées pour les cas où il est nécessaire d'utiliser un petit angle de déflexion ou un grand rayon. L'une de ces approximations, utilisée pour la conception au Japon, est la parabole cubique (JP).
Formule
Les paraboles cubiques (JP) peuvent être calculées à l'aide de l'expression suivante :
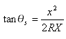
Où X = distance de tangente au point clothoïde-courbe depuis le point tangente-clothoïde
L'expression suivante de la formule est également correcte :

Où
est l'angle central de la clothoïde (i1 et i2 dans l'illustration)
Autres expressions clés :
Distance de tangente au point clothoïde-courbe depuis le point tangente-clothoïde :

Distance de décalage de tangente au point clothoïde-courbe depuis le point tangente-clothoïde :
Les clothoïdes biquadratiques (Schramm) possèdent de faibles valeurs d'accélération verticale. Elles possèdent deux paraboles du second degré dont les rayons varient en fonction de la longueur de la courbe.
Formule de courbe simple
Courbure de la première parabole :
pour
Courbure de la seconde parabole :
pour
Cette courbe est caractérisée par la longueur (L) définie par l'utilisateur de la courbe de transition.
Formules de courbe composée
Courbure de la première parabole :
pour
Courbure de la seconde parabole :
pour