Yeoh 材料特性

Yeoh 材料モデルは、超弾性の材料モデルで、2D、ブリック、および 4 面体要素で使用できます。材料特性を以下に示します。

[カーブ フィット]ボタン([要素の材料指定]ダイアログ)をクリックして、カーブ フィッティングルーチンを使用してください。 このルーチンによって、計測済みの応力-ひずみデータを使用して材料定数が計算されます。

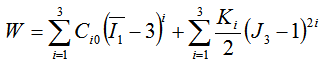
Yeoh 材料のポテンシャル関数は次のとおりです。

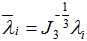
ここで

注: