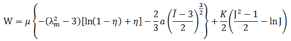
ファン デル ワールス(Van der Waals)材料特性

ファン デル ワールス材料モデルは、超弾性材料モデルであり、2D、ブリック、および 4 面体要素に使用できます。材料特性の一覧を次に示します。

カーブ フィッティング ルーチンを使用するには、[要素の材料指定]ダイアログの[カーブフィット]ボタンをクリックします。このルーチンによって、計測済みの応力-ひずみデータを使用して材料定数が計算されます。

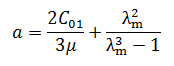
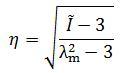
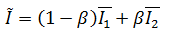
ファン デル ワールス材料のポテンシャル関数は次のとおりです。

ここで

材料特性: