Schweißoberflächenzuordnung

Der Arbeitsablauf für die Zuordnung von Schweißoberflächendaten aus Ihrem Moldflow-Modell zu Ihrem Strukturmodell ist der gleiche wie unter Zuordnung von Ergebnissen beschrieben. Die einzige zusätzliche Voraussetzung ist, dass sich die .ws3-Datei im selben Verzeichnis wie die SDY-Datei beim Import in Advanced Material Exchange befindet. Während des Imports liest, konvertiert und speichert Advanced Material Exchange die Schweißoberflächendaten, die in der SIF-Datei gespeichert sind. Als Ergebnis ist die .ws3-Datei nur beim Importieren, nicht während der Strukturanalyse erforderlich.

Minimaler Überstand

Die Übertragung von Schweißoberflächendaten besteht in der Zuordnung des Festigkeitsreduktionsfaktors aus den Moldflow-Ergebnissen zum entsprechenden Gaußschen Punkt im Strukturmodell. Vorgabemäßig wird hierzu die Methode des minimalen Überstands verwendet. Der Algorithmus des minimalen Überstands sucht nach allen Schweißoberflächen, die in einem bestimmen Strukturelement enthalten sind. Wenn Punkte gefunden werden, wird der niedrigste Stärkereduktionsfaktor in diesem Element auf alle Gaußschen Punkte innerhalb des Elements angewendet. Die Methode des minimalen Überstands ist hilfreich, wenn Sie ein grobes Strukturnetz haben.

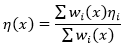
Shepard-Algorithmus

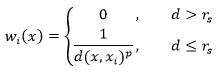
Die Alternative zur Methode des minimalen Überstands ist der Shepard-Algorithmus der inversen Abstandsgewichtung, der mit der HIN-Datei aktiviert werden kann (Schweißoberflächenzuordnung). Der Shepard-Algorithmus ist wie folgt definiert:

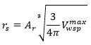
wobei p der Abstandsgewichtungskoeffizient und rs der Suchradius ist. Der Abstandsgewichtungskoeffizient ist vorgabemäßig 1, kann aber auch angepasst werden, indem Sie die HIN-Datei (Schweißoberflächenzuordnung) verwenden. Der Suchradius setzt den Gewichtungsbegriff wi(x) zwangsweise auf null, wenn sich der Punkt außerhalb des relevanten Bereichs befindet (wenn er sehr weit vom Gaußschen Punkt entfernt liegt). Der Suchradius wird mithilfe der folgenden Gleichung bestimmt:

wobei Vwspmax das maximale Volumen eines beliebigen Punkts auf der Schweißoberfläche ist, wie es in der ws3-Datei angegeben ist. Ar steht für einen Multiplikator, der verwendet werden kann, um die Suche einzuschränken oder zu erweitern. Ar hat standardmäßig den Wert 1, kann aber in der HIN-Datei (Schweißoberflächenzuordnung) angepasst werden.

Anzeigen von Ergebnissen

Nachdem die Ergebnisse zum Strukturmodell (Start > Zuordnung > Ergebnisse zuordnen) zugeordnet wurden, wechseln Sie zur Schweißoberflächenvisualisierung (Start > Ergebnisse anzeigen > Schweißoberflächen). Eine Konturendarstellung wird auf dem Strukturmodell angezeigt, die den Festigkeitsabnahmefaktor auf der Schweißoberfläche zeigt. Weitere Informationen darüber, wie die Festigkeitsabnahmefaktoren berechnet und verwendet werden, finden Sie im Thema Schweißoberflächenstärken.

Netzabhängigkeit

Die Genauigkeit der Zuordnung von Schweißoberflächendaten zum Strukturmodell ist abhängig von der Detailtreue des Strukturnetzes bezogen auf das Moldflow-Netz. Im Folgenden sehen Sie ein Beispiel für ein einfaches ASTM Prüfstück-Modell mit unterschiedlicher Strukturnetzdichte.

Es ist deutlich erkennbar, dass das Strukturmodell beginnt, die Form der Schweißoberfläche wie im Moldflow-Modell dargestellt anzunehmen, sobald das Netz des Strukturmodells verfeinert wird. Als bewährte Vorgehensweise wird empfohlen, eine Strukturnetzdichte von 1:1 oder feiner bezogen auf das Moldflow-Netz zu wählen.