Die externe kompressible Strömung kann in zwei Kategorien unterteilt werden:
- Aerodynamische Anwendungen im Freien (entweder in Höhenlagen oder auf Meereshöhe)
- Aerodynamische Anwendungen in einem Windkanal
Im Gegensatz zu internen Strömungen handelt es sich bei diesen beiden Typen um Strömungen, die über und um ein Bauteil (und nicht durch es hindurch) fließen. Beispiele hierfür sind Strömungen auf Tragflächen, Flugkörpern oder Triebwerksgondeln.
Die Strategien zur Lösung von Analysen im Freien und im Windkanal unterscheiden sich geringfügig hinsichtlich der Domänengröße und der typischen Einlassbedingung.
Kompressible Strömung im Freien
Für Anwendungen im Freien ist die Lösungsdomäne nicht als Teil des Modells definiert (im Gegensatz zu einem Windkanal). Es gibt einige einfache Richtlinien, die die Größe der Domäne auf Grundlage der Bemaßungen des Bauteils beeinflussen. Diese dienen lediglich zur Orientierung und können je nach den vorliegenden Bedingungen leicht variieren.
- Einlass: Wenden Sie die Geschwindigkeit (des Objekts) und den statischen Druck (P = 0) an (Gesamttemperatur bei Lösung für Wärmeübertragung).
- Auslass: Geben Sie die Bedingung "Unbekannt" an.
- Wenn die Domänenhöhe weniger als 20 y beträgt (siehe oben), geben Sie eine Gleitbedingung in der Fernfeld-Begrenzung an. Wenn die Randbedingung mindestens 20 y beträgt, belassen Sie die Fernfeld-Begrenzungen ohne Angabe, um sie als Wände zu definieren, oder weisen Sie die freie Strömungsgeschwindigkeit zu. Letzteres beschleunigt die Entwicklung der Strömung, führt aber im Stoßfall zu Konvergenzproblemen.
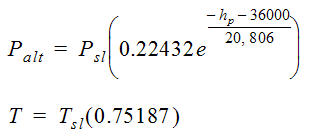
- Um die korrekten Materialeigenschaften bei Höhe zu verwenden, ändern Sie den Umgebungsdruck (und bei Relevanz der Wärmeübertragung die Umgebungstemperatur). (Klicken Sie mit der rechten Maustaste auf den Zweig Material auf der Designstudienleiste, und wählen Sie Umgebungsreferenz bearbeiten... aus). Die folgende Formel veranschaulicht die Berechnung von Referenzdruck und Temperatur in Höhenlagen:
-1000 Fuß < hp < 36,000 Fuß:
hp = Höhe in Fuß
Palt = statischer Druck auf Höhe
Talt = statische Temperatur auf Höhe
Psl = Druck auf Meereshöhe
Tsl = Temperatur auf Meereshöhe
36,000 Fuß < hp < 65,000 Fuß:
Wenn keine Lösung für die Wärmeübertragung gesucht wird, geben Sie die Gesamttemperatur im Aufgabendialogfeld "Start" an. Die Gesamttemperatur wird mithilfe folgender Gleichung berechnet:
Kompressible Windkanalströmung
Die Zufuhr zum Einlass erfolgt in der Regel von einem Entspannungsbehälter.
- Einlass: Geben Sie den Gesamtdruck (Pt) an. (Der Gesamtdruck entspricht dem statischen Druck der unbeweglichen Luft innerhalb des Tanks). Wenn die Geschwindigkeit bekannt ist, geben Sie sie ebenfalls an.
- Auslass: Geben Sie den statischen Druck (P = 0) an.
- Legen Sie den Umgebungsdruck als Umgebungsdruck im Windkanal fest:
- Klicken Sie auf der Designstudienleiste mit der rechten Maustaste auf den Zweig Material, und wählen Sie Umgebungsreferenz bearbeiten... aus.
- Geben Sie im Dialogfeld "Umgebung" den Druck an.
- Geben Sie für die Wärmeübertragung die Gesamttemperatur am Einlass an.
Angriffswinkel
Wenn das Objekt einen Angriffswinkel relativ zur Strömungsrichtung aufweist, sollte eher die Berechnungsdomäne als das Objekt neu ausgerichtet werden. Die Domänenausrichtung sollte so ausfallen, dass die freie Strömungsgeschwindigkeit und die Domänenseiten parallel verlaufen:
Umgebung
Wählen Sie in allen Fällen im Dialogfeld Umgebung die Option Variabel aus:
- Klicken Sie im Schnellbearbeitungs-Dialogfeld "Material" in der Zeile Umgebung auf Bearbeiten. (Klicken Sie alternativ auf der Designstudienleiste mit der rechten Maustaste auf den Zweig "Materialname".)
- Wählen Sie im Dialogfeld "Umgebung" die Option Variabel aus.
Simulationsempfehlungen
Die folgenden Vorgehensweisen werden zur Verbesserung der Präzision bei Berechnungen durch Ziehen empfohlen:
- Der Bereich um das Objekt herum muss mit einem sehr feinen Netz vernetzt werden. Für stromlinienförmigere Körper muss das Netz in der Nähe des Stagnationspunkts des Körpers stark verfeinert ausfallen, um den schnell veränderlichen Koeffizienten des Drucks zu erfassen.
- Rufen Sie das Turbulenzmodell SST K-Omega auf:
- Öffnen Sie das Dialogfeld Start, und klicken Sie auf der Registerkarte Physik auf Turbulenz.
- Wählen Sie im Menü Turb.- Modell die Option SST K-Omega aus.
- Geben Sie im Dialogfeld Wandschichten mindestens zehn Schichten an:
- Klicken Sie auf Konfiguration > Modelldefinition > Netzgrößen.
- Klicken Sie im Kontextmenü auf Wandschichten.
- Ziehen Sie den Schieberegler Anzahl der Schichten auf 10.
- Rufen Sie das Advektionsschema ADV5 auf:
- Öffnen Sie das Dialogfeld Start, und klicken Sie auf der Registerkarte Steuerung auf Lösungssteuerung.
- Klicken Sie im Dialogfeld Lösungssteuerungen auf Advektion.
- Wählen Sie in der Liste ADV 5 aus.
- Aktivieren Sie Netzadaption. Mit dieser Option wird das Netz im Verlauf von mehreren Iterationen der Simulation schrittweise verfeinert. Das Ergebnis ist eine netzunabhängige Lösung. Beachten Sie, dass diese Option sehr rechenintensiv sein und länger als eine einfache Ausführung des Netzes dauern kann.
- Öffnen Sie das Dialogfeld Start, und klicken Sie auf die Registerkarte Adaption.
- Aktivieren Sie Adaption aktivieren.
Verwandte Themen
Interne kompressible Strömung
Beispiel für Analyse kompressibler Strömungen