W inżynierii lądowej i wodnej stosowane są różne typy krzywych przejściowych do stopniowego wprowadzania krzywizn i przechyłek między stycznymi i łukami kołowymi, a także między dwoma łukami kołowymi o różnej krzywiźnie.
W relacji do innych stycznych i łuków każda krzywa przejściowa jest łukiem do wewnątrz albo łukiem na zewnątrz.
Dwoma najczęściej stosowanymi przez inżynierów parametrami podczas projektowania i określania krzywych przejściowych są L (długość krzywej przejściowej) i R (promień łuku kołowego).
Poniższa ilustracja przedstawia różne parametry krzywych przejściowych:
| Parametr krzywej przejściowej | Opis |
| i1 | Środkowy kąt łuku L1 krzywej przejściowej, który jest kątem krzywej przejściowej. |
| i2 | Środkowy kąt łuku L2 krzywej przejściowej, który jest kątem krzywej przejściowej. |
| T1 | Całkowita długość stycznej od PP do TS. |
| T2 | Całkowita długość stycznej od PP do ST. |
| X1 | Długość stycznej od TS, w SC. |
| X2 | Długość stycznej od ST, w CS. |
| Y1 | Odległość odsunięcia stycznej od TS, w SC. |
| Y2 | Odległość odsunięcia stycznej od ST, w CS. |
| P1 | Odsunięcie stycznej początkowej w stronę PS łuku przesuniętego. |
| P2 | Odsunięcie stycznej początkowej od PT łuku przesuniętego. |
| K1 | Wartość odciętej przesuniętego PC w odniesieniu do TS. |
| K2 | Wartość odciętej przesuniętego PT w odniesieniu do ST. |
| LT1 | Krzywa wyjściowa długiej stycznej. |
| LT2 | Krzywa wyjściowa długiej stycznej. |
| ST1 | Krzywa wyjściowa krótkiej stycznej. |
| ST2 | Krzywa wyjściowa krótkiej stycznej. |
| Inne parametry krzywej przejściowej | |
| A1 | Wartość A jest równa pierwiastkowi kwadratowemu długości krzywej przejściowej, pomnożonemu przez promień. Miara płaskości krzywej przejściowej. |
| A2 | Wartość A jest równa pierwiastkowi kwadratowemu długości krzywej przejściowej, pomnożonemu przez promień. Miara płaskości krzywej przejściowej. |
Wzór
Krzywe złożone umożliwiają przejście między dwoma łukami kołowymi o różnych promieniach. Tak jak w przypadku krzywej prostej, ta krzywa umożliwia zachowanie ciągłości funkcji krzywizny i stanowi sposób gładkiej przechyłki przejścia przed łukiem.
Program Autodesk Civil 3D obsługuje kilka typów krzywych przejściowych; klotoida jest najczęściej stosowanym typem krzywej przejściowej. Klotoida jest stosowana na całym świecie w projektach autostrad i linii kolejowych.
Zbadana po raz pierwszy przez szwajcarskiego matematyka Leonarda Eulera, funkcja krzywizny klotoidy to funkcja liniowa, której krzywizna w miejscu zetknięcia ze styczną wynosi zero (0), w funkcji długości. Następnie krzywizna rośnie liniowo, aż do zrównania z sąsiednim łukiem w punkcie zetknięcia krzywej przejściowej i łuku.
Tego rodzaju linia trasowania zapewnia ciągłość funkcji pozycji i jej pierwszej pochodnej (lokalny azymut), tak jak w przypadku stycznej i łuku w punkcie krzywizny (PC). Jednak inaczej niż w przypadku łuku prostego, zachowana jest także ciągłość drugiej pochodnej (krzywizna lokalna), co staje się szczególnie ważne przy wyższych prędkościach.
Wzór
Klotoida jest wyrażana wzorem:
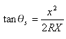
Płaskość krzywej przejściowej:
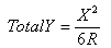
Całkowity kąt wyznaczony przez krzywą przejściową:
Długość stycznej od punktu Styczna-Łuk w punkcie Styczna-Krzywa przejściowa:
Odległość odsunięcia łuku stycznej od punktu Styczna-Łuk w punkcie Krzywa przejściowa-Łuk:

Zamiast klotoidy jako przejście można zastosować krzywą Blossa z parabolą piątego stopnia. Krzywa przejściowa ma przewagę nad klotoidą, ponieważ przesunięcie P jest mniejsze i dlatego przejście jest dłuższe, przy większym przedłużeniu (K) krzywej przejściowej. Ten czynnik ma znaczenie w projektach kolejowych.
Wzór
Krzywą Blossa można wyrazić następującym wzorem:

Inne wyrażenia:
Długość stycznej od punktu Styczna-Łuk w punkcie Styczna-Krzywa przejściowa:

Odległość odsunięcia łuku stycznej od punktu Styczna-Łuk w punkcie Krzywa przejściowa-Łuk:
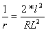
Krzywe sinusoidalne przedstawiają stały przebieg zakrzywienia i można je stosować do przejść ugięć stycznych z przedziału od 0 do 90 stopni. Krzywe sinusoidalne nie są jednak powszechnie stosowane, ponieważ są one bardziej strome niż krzywe „rzeczywiste”, i z tego względu są też trudniejsze do ujęcia w tabele oraz do kontrolowania.
Wzór
Krzywe sinusoidalne można wyrazić następującym wzorem:

gdzie r stanowi promień krzywizny w danym punkcie.
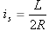
Ten rodzaj równania jest często stosowany w projektach linii kolejowych w Japonii. Łuk jest bardzo użyteczny, jeśli konieczne jest wydajne przejście krzywizny dla małych kątów odchyleń (w odniesieniu do dynamiki pojazdu).
Wzór
Łuki styczne w postaci połowy sinusoidy zanikającej mogą być wyrażane następującymi wzorami:
gdzie
i x stanowią odległość od początku do dowolnego punktu na łuku, mierzoną wzdłuż (rozszerzonej) stycznej początkowej; X stanowi sumaryczną wartość X na końcu krzywej przejściowej.
Inne wyrażenia:
Długość stycznej od punktu Styczna-Łuk w punkcie Styczna-Krzywa przejściowa:

Odległość odsunięcia łuku stycznej od punktu Styczna-Łuk w punkcie Krzywa przejściowa-Łuk:

Parabole sześcienne zbiegają się mniej gwałtownie niż krzywe sześcienne, dzięki czemu są często stosowane w projektowaniu linii kolejowych i autostrad.
Wzór
Promień minimalny paraboli sześciennej
W dowolnym punkcie paraboli sześciennej promień wynosi:
Parabola sześcienna osiąga min. r w:
Więc
Promień paraboli sześciennej zmniejsza się od nieskończoności do
przy kącie 24 stopnie 5 minut 41 sekund i od tego miejsca zaczyna ponownie rosnąć. Z tego względu parabole sześcienne są bezużyteczne przy zakrzywieniach większych niż 24 stopnie.
Przejście to zostało opracowane z myślą o wymaganiach inżynierów w Japonii. Utworzono określoną liczbę aproksymacji klotoidy przeznaczonych do stosowania w sytuacjach z małym kątem ugięcia lub dużym promieniem. Jedna z tych aproksymacji, stosowana w Japonii, to sześcienna (JP).
Wzór
Sześcienna (JP) jest definiowana wzorem:
Gdzie X = długość stycznej od punktu styczna-krzywa przejściowa w punkcie krzywa przejściowa-łuk
Ten wzór można również wyrazić w następujący sposób:

Gdzie
jest środkowym kątem krzywej przejściowej (i1 oraz i2 na rysunku)
Inne wyrażenia:
Długość stycznej od punktu Styczna-Łuk w punkcie Styczna-Krzywa przejściowa:

Odległość odsunięcia łuku stycznej od punktu Styczna-Łuk w punkcie Krzywa przejściowa-Łuk:
Jest to zmodyfikowana parabola sześcienna spełniająca wymagania normy Nowa Południowa Walia (Australia).
Wzór
Parabolę sześcienną NSW można wyrazić jako:
Gdzie:
Φ = kąt pomiędzy końcową linią promieniową w R i linią prostopadłą do stycznej początkowej
R = promień łuku
Xc = całkowita X danej krzywej przejściowej
Krzywe przejściowe czwartego stopnia (krzywe przejściowe Schramma) mają niewielkie wartości przyspieszenia pionowego. Zawierają one dwie parabole drugiego stopnia, których promienie zmieniają się wraz z funkcją długości łuku.
Podstawowy wzór łuku
Krzywizna pierwszej paraboli:
dla
Krzywizna drugiej paraboli:
dla
Łuk jest określany za pomocą zdefiniowanej przez użytkownika długości (L) krzywej przejściowej.
Złożone wzory łuków
Krzywizna pierwszej paraboli:
dla
Krzywizna drugiej paraboli:
dla