Geometrie rovnice měření azimutu/směrníku

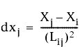
Změna souřadnic pro každé měření je vyjádřeno v následujících aproximacích Taylorovou řadou rovnice měření azimutu/směrníku:

a

kde

V následujícím obrázku je znázorněna geometrie rovnice měření azimutu/směrníku: