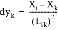
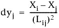
Pour chaque observation, tout changement de coordonnées s'exprime selon les approximations de la série de Taylor suivante pour l'équation d'observation des angles :
où
- Lij = longueur observée pour la ligne IJ
- Lik = longueur observée pour la ligne IK
- Lik = longueur observée pour la ligne IK
- Xi, Yi = coordonnées les plus probables du point I
- Xj, Yj = coordonnées les plus probables du point J
- Xk, Yk = coordonnées les plus probables du point K
L'illustration suivante indique la géométrie de l'équation d'observation des angles :