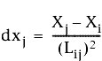
Pour chaque observation, tout changement de coordonnées s'exprime selon les approximations de la série de Taylor suivante pour l'équation d'observation des azimuts/angles de relèvement :


et


où
L'illustration suivante indique la géométrie de l'équation d'observation des azimuts/angles de relèvement :
