외부 압축성 흐름은 다음 두 가지 범주로 분류할 수 있습니다.
내부 흐름과 달리, 두 유형 모두 장치 위를 통과하거나 장치 주변을 이동하는(통과하지 않음) 흐름과 관련되어 있습니다. 예로는 날개, 미사일 또는 항공기 나셀 위를 통과하는 흐름이 있습니다.
열린 공기 및 풍동 해석 전략은 영역 크기 및 일반적인 입구 조건에 따라 약간 다를 수 있습니다.
열린 공기 응용 분야에서 솔루션 영역은 모형의 일부로 정의되어 있지 않습니다(풍동과 다름). 장치 치수에 따라 영역 크기를 구동하는 몇 가지 기본적인 지침이 있습니다. 이것은 지침일 뿐이며 상황에 따라 달라질 수 있습니다.


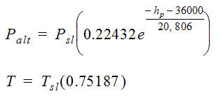
-1000ft < hp < 36,000ft:

hp = 고도(피트)
Palt = 고도에 따른 정적 압력
Talt = 고도에 따른 정적 온도
Psl = 해수면에서의 압력
TSL = 해수면에서의 온도
36,000ft < hp < 65,000ft:

열 전달을 해석하지 않는 경우 해석 작업 대화상자에서 총 온도를 지정해야 합니다. 총 온도는 다음 방정식을 사용하여 계산됩니다.

일반적으로 블로우 다운 탱크에서 입구로 흐름이 제공됩니다.
입구 지정: 총 압력(Pt)을 지정합니다. (총 압력은 탱크 내의 움직이지 않는 공기의 정적 압력이 됩니다.) 속도를 알고 있는 경우 속도도 지정합니다.
출구: 정적 압력(P = 0)을 지정합니다.
환경 압력을 풍동의 대기 압력으로 지정합니다.
열 전달의 경우 입구의 총 온도를 지정합니다.
객체의 진입 각도가 흐름에 상대적인 경우 객체 대신 계산 영역의 방향을 다시 지정하는 것이 좋습니다. 영역 방향은 자유 스트림 속도 측면과 영역 측면이 평행이 되도록 유지해야 합니다.

모든 케이스에 대해 재료 환경 대화상자에서 가변을 선택합니다.
다음과 같은 기술을 사용하여 항력 계산의 정확도를 높이는 것이 바람직합니다.
객체 주위 영역은 매우 미세한 메쉬로 메슁해야 합니다. 더 많은 유선형 물체에서는 빠르게 변화하는 압력 계수를 캡처하기 위해 물체 정체점 근처의 메쉬가 상당히 미세해야 합니다.
SST K-오메가 난류 모형을 호출합니다.
벽 레이어 대화상자에서 최소 10개의 레이어를 지정합니다.
ADV5 대류항 계산법을 호출합니다.
메쉬 적응을 사용으로 설정합니다. 이 옵션은 시뮬레이션의 여러 반복을 통해 메쉬를 점진적으로 미세 조정합니다. 그 결과 메쉬 독립적 솔루션이 완성됩니다. 이 옵션은 계산이 복잡할 수 있으며, 메쉬의 단일 실행보다 더 오래 걸릴 수 있습니다.
관련 항목