Os parâmetros de uma análise sísmica da estrutura dependem de uma norma sísmica usada durante os cálculos de uma estrutura influenciada pelo impacto sísmico.
Selecione a norma sísmica dos EUA IBC 2009 (Norma Internacional de Construção 2009), IBC 2012 (Norma Internacional de Construção 2012) ou ASCE 7 (Cargas Mínimas de Projeto e Critérios Associados para Edifícios e Outras Estruturas) na caixa de diálogo Nova definição de caso ou clique em Parâmetros na caixa de diálogo Tipos de análise.

Para concluir a análise sísmica de acordo com as regras fornecidas nessa norma, defina os seguintes parâmetros.
Os coeficientes do terreno Fa e Fv são interpolados com base nos parâmetros S1 e SS.
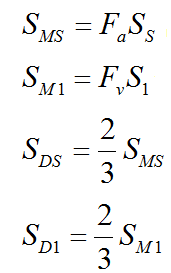
Os parâmetros de aceleração do espectro de projeto são calculados com base nas seguintes equações:

Clique em Definição de excentricidade para abrir a caixa de diálogo Definição de excentricidades de massa, onde é possível especificar como considerar a excentricidade de uma massa na análise sísmica.
Clique em Cisalhamento base para abrir a caixa de diálogo Cisalhamento base. Aqui é possível selecionar como levar em conta a força de cisalhamento base: calcule-a de acordo com as provisões da norma sísmica ASCE 7-05, Seção 12.8, ou especifique-a.
Na parte inferior da caixa de diálogo, estão localizados os botões Definição da direção e Filtros.
Os detalhes sobre esse método de análise de estrutura podem ser encontrados na norma mencionada.