Las secciones con alma ondulada son secciones en I que presentan almas onduladas de paredes delgadas. Son secciones de la familia de secciones SIN o con dimensiones definidas por el usuario.
Las barras con alma ondulada solo pueden diseñarse de acuerdo con la norma de acero polaca.
Los siguientes parámetros especifican una sección con un alma ondulada:
- De la base de datos: secciones estándar con alas idénticas (b 1 =b 2 , t f1 = t f2 ) y los siguientes símbolos de espesor del alma:
Todas las dimensiones son de la familia de secciones SIN; por lo tanto, los campos para definir las dimensiones no están disponibles.
- Con valores definidos por el usuario:
Altura total de la sección: H = h + t f1 + t f2
Área de sección transversal de las alas
Af = b1 * tf1 + b2 * tf2
Área de sección transversal de un alma
Aw = h * tw
Área de sección total
A = Af + Aw
Áreas de sección transversal efectivas para el cortante
Ay = b1 * tf1 + b2 * tf2: área de sección transversal de las alas
Az = Aw * m / s: área de sección transversal reducida del alma
Momento estático
S = b1 * tf1 * (h + tf2 + tf1 / 2) + b2 * tf2 * tf2 / 2
Posición del centro de gravedad de la sección

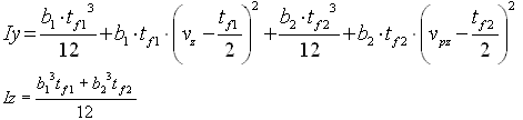
Momentos de inercia en torno a los ejes Y y Z, respectivamente, de una sección compuesta únicamente de alas

Momento de inercia durante la torsión
G= Gf +Gw
G f = r s * A f * l
Gw = r s * Aw * lw = r * Aw * l/m * s
donde:
A f : área de sección transversal de las alas
A w :área de sección transversal del alma
r s : peso unitario del acero
l: longitud de la barra
Iw: longitud desarrollada de la pletina del alma: lw = l / m * s
m: longitud proyectada de una onda
s: longitud desarrollada de una onda