La teoría de elementos de cable en Robot se basa en la teoría general de cables con un valor reducido de cable cóncavo. Según esta teoría, la rigidez del cable es una función implícita de los siguientes parámetros: rigidez de tensión del cable (E*F), tensión del cable, desplazamientos del apoyo del cable y carga transversal en ambas direcciones (p y , p z ).
Debido a la no linealidad del elemento de cable, su definición en la estructura requiere la aplicación de métodos repetitivos de análisis de estructura.
Funciones de implementación de cables en Robot:
Limitaciones:
Cargas de cable
Los siguientes tipos de carga se aplican a los elementos de cable:
Los siguientes tipos de carga no se aplican a los elementos de cable:
SINTAXIS (que debe introducir un usuario en un archivo de texto)
CARActerísticas
(<lista de elementos>) CABles AX=<área de sección> (E=<módulo de Young>)
(RO=<peso unitario>) [TENsión = <s> | FUErzas = <h> | LONgitud = <l>
| [ DILatacion = <d> (RELativa) ]]
donde:
TENsión: tensión normal (calculada respecto al cordón) que se debe conseguir para el caso de carga de montaje.
FUERza: fuerza de tracción (calculada respecto al cordón) que se debe conseguir para los casos de carga de montaje.
LONgitud: longitud inicial del cable.
DILatacion: diferencia entre la longitud inicial del cable y la distancia entre los nudos de apoyo. (Si es un valor positivo, la longitud es mayor que la distancia entre los nudos; si es negativo, la longitud es menor que la distancia entre los nudos).
DILatacion RELativa: relación de la diferencia entre la longitud inicial del cable y la distancia entre los nudos de apoyo. (Si es un valor positivo, la longitud es mayor que la distancia entre los nudos; si es negativo, la longitud es menor que la distancia entre los nudos).
Robot incluye la fase de montaje de la estructura. Es recomendable que este sea el primer caso de carga. A continuación, se ofrece la sintaxis para este caso de carga:
CASo
MONtaje
[descripción de carga]
En este caso de carga:
TENsión = s0 (tensión de cable inicial)
FUERza = t0 (fuerza de tracción inicial en el cable)
Durante el análisis de casos sucesivos de carga de la estructura en el estado de equilibrio, se tienen en cuenta las cargas del caso de montaje aplicadas a la estructura. Los desplazamientos asignados a este caso se utilizan como base para un análisis posterior. Las fuerzas de tracción predefinidas se modifican, lo que significa que, después del montaje, el cable se ancla.
En esta fase, la ecuación (1) describe la transición desde:
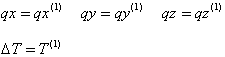
q0x = q0y = q0z = 0 (sin carga)
H0 = 0 (sin tensión de cable)
T0 = 0
para el que la longitud es igual a L1= :
|
1. |
largo, cuando (largo ≠ 0); si el valor LONgitud se especifica en una definición de cable. |
|
2. |
[distancia (A, B) + dilatación], cuando la dilatación se define en un sistema absoluto, si el valor DILatacion se especifica en una definición de cable. |
|
3. |
[distancia (A, B)*(1+dilatación)], cuando la dilatación se define en un sistema relativo; si el valor DILatacion RELativa se especifica en una definición de cable. |
|
4. |
[distancia (A, B)], cuando (dilatación = 0) y (largo = 0); si no hay ninguna palabra clave como LONgitud, DILatacion o DILatacion RELativa en una definición de cable o está presente una de las siguientes palabras clave: FUErza o TENsión. |
a

L2: Distancia entre los nudos de apoyo A y B del cable deformado:
L2 = distancia (A+U A , B+U B )
donde:
U A : desplazamiento del punto A
U B : desplazamiento del punto B
En el primer caso, se pueden dar diversas situaciones, como se indica a continuación:
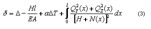
Desde la ecuación (1):
El valor l es la distancia entre los nudos inicial y final del cable.
Desde la ecuación (2), se puede asignar el alargamiento inicial del cable esencial para obtener la fuerza necesaria H:
entonces, al resolver la ecuación (4) según la fuerza H
e iterar a través del sistema de ecuaciones, se obtiene el valor final de la fuerza de montaje.
Es igual a:
.
L2 = longitud (A, B)
al resolver la ecuación (4), se obtiene el valor inicial de la fuerza necesaria para el anclaje de cable entre apoyos.
Una vez completado el análisis de la estructura, los resultados de los elementos de cable son similares a los obtenidos para los elementos de barra, aunque quedan algunas diferencias. Entre las diferencias, se incluyen las siguientes:
Estos resultados son útiles para diseñar la fase de montaje. Están disponibles en el módulo Resultados. Para ello, seleccione el comando Tensiones > Parámetros > Resultados para los elementos de cable en la fase de montaje.
donde:
N: fuerza aplicada a lo largo de la tangente del cable.
FX, FY, FZ: componentes de fuerza N proyectados en direcciones de ejes sucesivos del sistema de coordenadas local.
Cuando se define un caso arbitrario (i) después del primer caso de montaje, el comportamiento de los cables se obtiene mediante la resolución de la ecuación (1). La iteración de una ecuación de este tipo se realiza según los siguientes supuestos:
La carga del primer caso de carga se añade automáticamente a la carga en el caso (i).
La fuerza de tracción H se considera una cantidad desconocida.
Consulte también:
Observaciones prácticas sobre los cálculos de estructuras de cable