A simulação de vento não gera resultados totalmente estáveis, pois é um processo dinâmico que muda ao longo do tempo.
Para resolver esse problema, o programa mede a convergência total de forças resultantes durante um período de tempo específico.
.
.
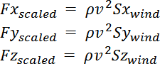
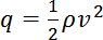
. As forças resultantes dependem do tamanho do modelo. Para dimensionar corretamente as forças resultantes, o programa usa a pressão dinâmica
e os valores de superfície
,
e
.
Os valores de superfície são usados para dimensionar as forças correspondentes.
Essa abordagem permite neutralizar as desproporções do modelo nas direções do vento x, y e z.
representa a pressão dinâmica em pascal.
representa a densidade do fluido em kg/m3.
representa a velocidade do fluido em m/s.
corresponde à área coberta pela projeção de todos os triângulos do modelo no plano perpendicular à direção do vento X.
corresponde à área coberta pela projeção de todos os triângulos do modelo no plano perpendicular à direção do vento Y.
corresponde à área coberta pela projeção de todos os triângulos do modelo no plano perpendicular à direção do vento Z. As forças de escala são calculadas da seguinte forma:

Para medir a convergência total de forças em um período de tempo específico, as forças resultantes
,
e
são calculadas e armazenadas para um número n de etapas e, em seguida, a alteração máxima para um determinado momento é calculada da seguinte forma:

Em que
,
e
representam os valores armazenados de
,
e
para uma determinada etapa, e para i=1 para n.
Essas alterações de força máxima são, em seguida, dimensionadas por
,
e
, respectivamente, e exibidas como uma porcentagem.
A métrica final é o máximo desses três valores dimensionados:

Em que
= 0,5%, ou seja, o fator de desvio de carga padrão.
n é o número de etapas de simulação para as quais
,
e
são armazenadas para comparação com a etapa atual. O valor padrão para n é 10.