Laurenson

Das Laurenson-Verfahren kann auf ländliche und städtische Einzugsgebiete sowohl in Bemessungsniederschlags- als auch in fortlaufenden Simulationssituationen angewendet werden. Es ermöglicht die nichtlineare Reaktion von Einzugsgebieten über einen großen Bereich von Ereignisgrößen.

Anmerkung: Diese Methode ist für Ihre Region möglicherweise nicht verfügbar. Weitere Informationen finden Sie im Thema Regionalisierung.

Das Laurenson-Verfahren ist auch als RAFTS-Methode bekannt und stammt ursprünglich aus der Arbeit Aitken, A.P. (1975). Die Gleichung wird jedoch in ARR, Band 1, auf Seite 187 wiederholt.  Siehe auch Referenz Sobinoff et.al. (1983). Die Gleichung eignet sich nur für einen n-Wert von 0.025.

Weitere Modifikationen wurden von Willing und Partner nach Kalibrierungsläufen für Projekteinzugsgebiete zwischen 1976 und 1985 vorgenommen.

Die hydrologischen Datenanforderungen lauten: Einzugsgebiet, Neigung, Grad der Verstädterung, Verlustraten, beobachteter oder Bemessungsniederschlag.

Diese Daten werden verwendet, um den Speicherverzögerungskoeffizienten für jedes Teileinzugsgebiet zu berechnen und somit die nichtlineare Abflussganglinie zu entwickeln. Es wird ein Vorgabeexponent verwendet, obwohl Sie diesen Wert entweder mit einem anderen nichtlinearen Exponenten oder einer Bewertungstabelle für den Volumenstrom im Vergleich zu einem Exponenten überschreiben können, um verschiedene Grade der nichtlinearen Reaktion des Einzugsgebiets zu definieren.

Weitere Informationen zu den verschiedenen verwendeten Gleichungen finden Sie in den folgenden Abschnitten.

Anfänglicher Niederschlagsverlust: Gibt die Tiefe des Niederschlags an, der versickert, bevor ein Abfluss erfolgt.

Anhaltender Niederschlagsverlust: Gibt den Verlust an, der nach dem anfänglichen Verlust auftritt.

B: Dieser Wert kann eingegeben oder über die Gleichung im Abschnitt Koeffizienten B und n weiter unten berechnet werden.

n: Der Nichtlinearitäts-Speicherexponent ist vorgabemäßig auf -0.285 eingestellt.

Faktor anpassen: Kann als Multiplikationsfaktor verwendet werden, der während der Kalibrierung genutzt wird, um den berechneten Wert für B zu ändern. Der Vorgabewert lautet 1.

n-Wert nach Manning: PERN ist ein Adaptionsfaktor, der verwendet wird, um die Auswirkungen der Rauigkeit durchlässiger Einzugsgebiete wie folgt einzuführen:

n

PERN

0.010

0.4

0.015

0.5

0.025

1.0

0.100

3.0

Grad Verstädterung: Anteil des Einzugsgebiets, der verstädtert ist.

Neigung Einzugsgebiet: Geänderte flächentreue Neigung (%).

Prozent undurchlässig: Undurchlässiger Teil des Zuflussbereichs.

Oberflächenversiegelung: Damit wird die undurchlässige Fläche um den angegebenen Wert skaliert. Diese Option kann verwendet werden, um die Vergrößerung städtischer Gebiete oder andere Faktoren zu berücksichtigen. Der Wert wird nur aktiviert (und eingesetzt), wenn die Versiegelung für die Analyse in den Analysekriterien auf die Nutzung von Einzugsgebieten eingestellt ist.

Speicher-Abfluss-Beziehung

Jede Teilfläche wird als konzentrierter konzeptueller Speicher behandelt. Jeder Speicher verfügt über eine Speicherverzögerungszeit, die wie folgt beschrieben wird:

K(q) = Bqn

Dabei gilt:

K(q) = Speicherverzögerungszeit für Teilfläche (Stunden) als Funktion von q

q = Abfluss (m3/s)

B = Speicher-Verzögerungszeitkoeffizient

n = Nichtlinearitäts-Speicherexponent

Ersetzt man die kaskadierende nichtlineare Speichergleichung durch die Gleichung für die Speicherverzögerungszeit, so ergibt sich:

s = Bqn + 1

Dabei gilt:

s = Speichervolumen (Std. x m3/s)

B = Speicher-Verzögerungszeitkoeffizient

n = Nichtlinearitäts-Speicherexponent. Vorgabemäßig ist der Wert auf -0.285 festgelegt.

Der Niederschlag wird auf jede Teilfläche angewendet, ein Überschuss wird berechnet und in einen unmittelbaren Zufluss umgewandelt. Dieser unmittelbare Volumenstrom wird dann durch den Teilflächenspeicher geleitet, um eine individuelle Teileinzugsgebiet-Auslassganglinie zu erstellen.

Der Vorgabewert für den Nichtlinearitäts-Exponenten lautet -0.285. Die Anwendung bietet die Mechanismen zum Ändern dieses Werts, in der Regel in Bezug auf seltene Ereignisse, bei denen eine signifikante Ausuferungs-Hochwasserroute des Teileinzugsgebiets involviert ist, wie folgt:

  • Direkte Eingabe eines geänderten Werts "n". Ein Wert von null würde eine lineare Reaktion des Einzugsgebiets angeben und mit der Theorie der Einheiten-Ganglinie gleichgesetzt werden.
  • Eingabe der Bewertungskurve "n" = f (Q) für jedes Teileinzugsgebiet.

Auf diese Weise kann die Anwendung entweder eine lineare oder nichtlineare Reaktion simulieren.

Koeffizienten B und n

B wird entweder direkt für jedes Teileinzugsgebiet eingegeben oder aus der folgenden Gleichung geschätzt, die von Aitken (1975) abgeleitet wurde. Es wird davon ausgegangen, dass der Wert B für jede Teilfläche dem Durchschnittswert B für das Teileinzugsgebiet entspricht.

BAV = 0.285 A0.52 (1 + U)-1.97 Sc-0.50

Dabei gilt:

B = Mittelwert des Koeffizienten B für Teileinzugsgebiet

A = Fläche des Teileinzugsgebiets (km²)

U = Anteil des Einzugsgebiets, das verstädtert ist. (Bei U = 1.0 ist das Einzugsgebiet vollständig verstädtert, und bei U = 0.0 ist das Einzugsgebiet vollständig ländlich.)

Sc = Hauptentwässerungsneigung des Teileinzugsgebiets (%). (Längster Pfad des Teileinzugsgebiets, beginnend am Auslass des Teileinzugsgebiets, fließt entlang des Hauptkanals und zweigt dann gegebenenfalls am am weitesten entfernten Zufluss zum höchsten Punkt des Teileinzugsgebiets ab.)

Diese Gleichung wurde ursprünglich aus sechs städtischen Einzugsgebieten in Australien abgeleitet, wobei die folgenden Bereiche angewendet wurden:

A variierte zwischen 0.8 km² und 56 km²

U variierte zwischen 0.0 und 1.00

Sc variierte zwischen 0.22 % und 2.90 %.

In den folgenden Jahren wurden jedoch eine Vielzahl von Flächen, Neigungen und Verstädterungen außerhalb dieser Bereiche mit großem Erfolg getestet. Siehe Sobinoff et al. (1983).

Für vermessene Einzugsgebiete sollten abgeleitete B-Werte, die als Durchschnittswert aus aufgezeichneten Niederschlags-/Abflussereignissen ausgewertet werden, bevorzugt gegenüber verallgemeinerten Regressionsschätzungen verwendet werden.

Da U in bestimmten Fällen recht vage sein kann, wurden die diesbezüglichen Dateneingaben geändert, um für jedes Teileinzugsgebiet einen Parameter für % undurchlässig (%I) anstelle des Zeitraums U aufzunehmen.

Das Modell interpretiert U hinsichtlich %I basierend auf den folgenden Kennzahlen:

%I U
0 0
30 0.7
50 1.0
100 2.0*

*Dieser Wert wurde aus den ursprünglichen Daten extrapoliert, basierend auf begrenzten Ergebnissen aus vollständig undurchlässigen Flächen.

B-Modifikationsfaktoren

Wenn Niederschlags-/Abflussmessdaten für eine Reihe von Ereignissen verfügbar sind, sollten sie der obigen Regressionsgleichung mit Modifikationsfaktoren vorgezogen werden.

PERN

Die ursprüngliche Regressionsgleichung (wie im Abschnitt Koeffizienten B und n ausgedrückt) unterscheidet nicht zwischen Einzugsgebieten mit dem gleichen Verstädterungsgrad, aber unterschiedlicher Rauigkeit. Daher wurde ein zusätzlicher empirischer Parameter hinzugefügt, um die Rauigkeit durchlässiger Teileinzugsgebiete zu berücksichtigen.

Der Parameter PERN wird als Darstellung des n-Werts nach Manning für die durchschnittliche Rauigkeit des Teileinzugsgebiets eingegeben. B wird dann gemäß der folgenden Tabelle modifiziert. Wenn PERN leer gelassen wird, bleibt B unverändert.

n

PERN

0.010 0.4
0.015 0.5
0.025 1.0
0.100 3.0
Anmerkung: In städtischen Einzugsgebieten wird empfohlen, einzelne Teileinzugsgebiete in separate undurchlässige und durchlässige Komponenten aufzuteilen. Dies wird durch Verwendung des ersten und zweiten Flächendialogfelds erreicht. Das erste kann sich entweder auf die undurchlässigen oder durchlässigen Komponenten beziehen. Sie müssen jedoch konsistente Eingaben machen, um die richtigen Komponentensummen in der Ausgabe zu erhalten. Wenn OSD angewendet wird, ist es erforderlich, das erste Flächendialogfeld mit der undurchlässigen Komponente des Teileinzugsgebiets zu verknüpfen.

Es ist üblich, bei einer Analyse von geteilten Teileinzugsgebieten einen niedrigeren Teileinzugsgebiets-Spitzenwert zu schätzen, als einen Spitzenwert, bei dem nur eine konzentrierte (undurchlässige plus durchlässige Komponente) Teileinzugsgebietsdefinition verwendet wird.

Basierend auf einer Studie, in der städtische Einzugsgebiete in Canberra kalibriert wurden, lauten die Oberflächenabfluss-Routenparameter für die PERN-Manning-Rauigkeit für undurchlässige und durchlässige Flächen 0.015 bzw. 0.040. (Willing und Partner, 1993)

BX

Während der Kalibrierung eines vermessenen Einzugsgebiets wird ein zusätzlicher Parameter BX in den Kopfzeilendaten aufgenommen, um den berechneten oder eingegebenen Wert B um einen weiteren Multiplikationsfaktor zu modifizieren. Der Parameter BX modifiziert dann gleichmäßig alle Werte für Teileinzugsgebiet B, die zuvor berechnet oder in der Gleichung festgelegt wurden, die im Abschnitt Koeffizienten B und n ausgedrückt ist.

Anmerkung: Der BX-Wert ist vorgabemäßig auf 1.0 eingestellt. Dieser Wert kann variiert werden, um eine konzentrierte Kalibrierung für den Abflussspitzenwert am Auslass des Einzugsgebiets zu erhalten.

Routing-Methode

Das Routing für ein bestimmtes Teileinzugsgebiet erfolgt nach der Muskingum-Cunge-Methode. Die Speicherung wird als nichtlineare Funktion des Abflusses betrachtet.

s = K(q) x q Gleichung (1)

Dabei gilt:

s = Speichervolumen (h × m³/s)

q = unmittelbare Abflussgeschwindigkeit (m³/s)

K(q) = Speicherverzögerungszeit als Funktion von q (Stunden)

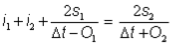
Die Speicherfunktion wird in der Kontinuitätsgleichung als Finite-Differenzen-Formel verwendet:

Gleichung (2)

Dabei gilt:

i1, i2 = Zufluss am Anfang und Ende der Routing-Periode (m³/s)

delta t = Routing-Intervall (h)

q1, q2 = Abfluss aus dem Speicher am Anfang und Ende der Routing-Periode (m³/s)

s1, s2 = Speichervolumen am Anfang und Ende der Routing-Periode (h × m³/s)

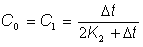
Ersetzt man s2 und s1 in Gleichung (2) aus Gleichung (1), ergibt sich Folgendes:

Dabei gilt:

Aufgrund der Wechselbeziehung zwischen C0, C1, C2, K2 und q2 ist eine iterative Lösung erforderlich. K1 und K2 sind die berechneten Teilflächen-Speicherverzögerungszeiten als Funktion von q am Anfang bzw. Ende der Iteration.

Routing-Details

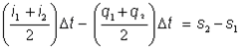
Im Verzögerungsbecken-Modul kommt das Puls-Pegelpool-Routing-Verfahren zum Einsatz. Die Zufluss-Ganglinie wird mit dem unten beschriebenen Speicher-Routing durch das Becken geleitet:

Dabei gilt:

i1, i2 = Zuflüsse zu Zeiten 1 und 2 (m³/s)

s1, s2 = Gesamtspeicher zu Zeiten 1 und 2 (m³)

O1, O2 = Abflüsse zu Zeiten 1 und 2 (m³/s)

delta t = Routing-Intervall(e)

Die tiefgestellten Zahlen 1 und 2 verweisen auf den Anfang bzw. das Ende des Routing-Intervalls.

Referenzen

Aitken, A.P. (1975) Hydrologic investigation and design of urban stormwater drainage systems. Aust. Water Resources Council Tech. Paper Nr. 10, Dept of the Environment and Conservation, A.G.P.S., Canberra.

Institution of Engineers, Australien. (1987) Australian Rainfall and Runoff – A Guide to Flood Estimation (bearbeitet von D.H. Pilgrim und R.P. Canterford), Bände 1 und 2, überarbeitete Ausgabe, November, 1987, Canberra

James 1998 (Herausgeber): Modeling the Management of Stormwater Impacts; Band 6, Kapitel 23; Ashok Pandit und Joanie Regan (Autoren): What is the Impervious Area Curve Number; Verlag: CHI Guelph, Ontario, Kanada.

Laurenson E.M. (1964) A Catchment Storage Model for Runoff Routing, Journal of Hydrology, Band 2, Seiten 141-163

Sobinoff, P. Pola, J.P. und O’Loughlin, G.C. (1983) Runoff routing parameters for the Newcastle-Sydney-Wollongong region. Hydrol. And Water Resources Symposium 1983, inst. Engrs Aust., Natl Conf. Publ. Nr. 83/13, Seiten 28-32.  T

USDA National Resources Conservation Service, 1986: Urban Hydrology for Small Watersheds, Technical Release 55.

Viessman W. et al 1977, Introduction to Hydrology", Harper&Row Publishers New York

WEF 1992, Manual of Practice FD-20 Design and Construction of Urban Stromwater Management Systems ASCE und WEF ISBN 0-87262-855-8