Methode de Caquot

Die Méthode de Caquot ist eine Methode zur Berechnung des Spitzenvolumenstrom, die in den 1940er Jahren in Frankreich entwickelt wurde. Sie wurde ursprünglich als Erweiterung der rationalen Methode konzipiert. Der Name der Methode stammt von ihrem Erfinder, dem vielseitigen Ingenieur Albert Caquot (1881-1976). Die Methode wird hauptsächlich in Frankreich und einigen französischsprachigen Ländern angewendet.

Sie wurde zu einer Zeit entwickelt, als es technisch noch nicht möglich war, die gesamte von einem städtischen Einzugsgebiet erzeugte Ganglinie zu berechnen, und der Spitzenvolumenstrom der einzige Wert war, der bei der Dimensionierung von Entwässerungsnetzen verwendet werden konnte. Augenscheinlich ist die Methode heutzutage weniger nützlich, da fortschrittlichere hydrologische Methoden zur Abschätzung von Ganglinien für den vollständigen Abfluss verwendet werden können. Nichtsdestotrotz wird sie aufgrund ihrer Einfachheit weiterhin verwendet, um den Entwurf von Entwässerungsnetzen zu unterstützen.

Die Methode wurde ursprünglich 1941 veröffentlicht und ihre praktische Anwendung ab 1949 empfohlen. 1977 wurde die Methode überarbeitet [1]. Die Implementierung in InfoDrainage basiert auf der Beschreibung im Nachschlagewerk La Ville et son assainissement [2].

Bemessung

Die in InfoDrainage verwendete Methode zur Rohrdimensionierung ist unabhängig von der gewählten Volumenstromberechnungsmethode gleich.

Anmerkung: Diese Option ist für Ihre Region möglicherweise nicht verfügbar. Weitere Informationen finden Sie im Thema Regionalisierung.

Gleichungen

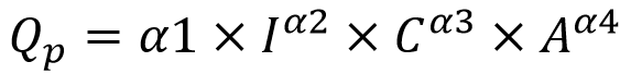
Die Hauptformel, die von der Méthode de Caquot verwendet wird, lautet wie folgt:

wobei I die durchschnittliche Neigung des Einzugsgebiets (m/m), C der Abflusskoeffizient des Einzugsgebiets (im Allgemeinen wird davon ausgegangen, dass dieser dem Undurchlässigkeitskoeffizienten entspricht) und A das Einzugsgebiet (ha) ist.

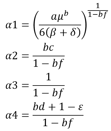
Die Koeffizienten werden mithilfe der erweiterten Parameter gemäß den folgenden Gleichungen berechnet:

wobei sich die Parameter a und b auf die Parameter beziehen, die für den Desbordes-Niederschlag verwendet werden, und sich die erweiterten Parameter c, d, f, μ, ε, β, δ aus den Annahmen zur Schätzung der Konzentrationszeit und des Speichers im Einzugsgebiet und zur Flächenreduktion der Niederschläge ableiten. Die Vorgabewerte, die in den oben genannten Leitfäden empfohlen werden, werden unten angezeigt. Diese können in den meisten Situationen verwendet, aber auch vom Benutzer bearbeitet werden.

Formkorrekturfaktor

Bei der obigen Formel wird davon ausgegangen, dass das Einzugsgebiet einen Formfaktor E aufweist, der ungefähr gleich 2 ist.

wobei L die Länge des längsten hydraulischen Pfads im Einzugsgebiet und A die Fläche in m² ist. Wenn der Formfaktor E stark von 2 abweicht, muss der Spitzenvolumenstrom Qp um den folgenden Formkorrekturfaktor korrigiert werden:

Gruppierung von Einzugsgebieten

Die oben genannten Formeln dienen zur Schätzung des von einem einzelnen städtischen Einzugsgebiet erzeugten Spitzenvolumenstroms. In den meisten praktischen Anwendungen müssen mehrere Einzugsgebiete dargestellt werden. Die Méthode de Caquot gibt an, wie mehrere Einzugsgebiete für die Schätzung des Spitzenvolumenstroms am am weitesten stromabwärts liegenden Punkt zu gruppieren sind.

Der Hauptunterschied besteht darin, ob Einzugsgebiete seriell oder parallel gruppiert werden. Da Einzugsgebiete in InfoDrainage mit einer Verbindung oder einer Regenwassersteuerung (und nicht mit einem anderen Einzugsgebiet) verknüpft sind, ist in diesem Zusammenhang nur eine parallele Gruppierung sinnvoll. Die folgende Tabelle zeigt die Beziehungen, die zum Berechnen der entsprechenden Eigenschaften mehrerer gruppierter Einzugsgebiete verwendet werden.

wobei L(tcmax) die Abflusspfadlänge des Einzugsgebiets mit der längsten Konzentrationszeit ist.

Für die Abschätzung des Spitzenvolumenstroms im gesamten Entwässerungssystem folgt InfoDrainage dem Netz von allen Einzugsgebieten aus und identifiziert die Knotenpunkte. An jedem Knotenpunkt berechnet InfoDrainage die entsprechenden Einzugsgebieteigenschaften aus den zwei oder mehr verbindenden Strängen. Diese entsprechenden Einzugsgebieteigenschaften werden dann im Speicher abgelegt, damit sie weiter stromabwärts verwendet werden können, wenn ein gruppiertes Einzugsgebiet zusammen mit einem anderen Einzugsgebiet gruppiert werden muss.

Betrachten wir als Beispiel das unten gezeigte vereinfachte Netz mit den drei Einzugsgebieten A, B und C. Am Netzstandort N1 wird der Spitzenvolumenstrom geschätzt, indem die Eigenschaften (über Parallelgruppierung //) von AB = A // B berechnet werden. Am Netzstandort N2 wird der Spitzenvolumenstrom durch Berechnung der Eigenschaften ABC = (AB) // C geschätzt.

Einschränkungen

Da es sich bei der Méthode de Caquot teilweise um eine empirische Methode handelt, ist ihre Anwendbarkeit auf den Bereich der Einzugsgebiete beschränkt, die in der ursprünglichen Studie berücksichtigt wurden.

Die Méthode de Caquot darf nur in städtischen Einzugsgebieten eingesetzt werden, die keine Speicherstrukturen enthalten.

Außerdem verwendet die Méthode de Caquot die Montana-Koeffizienten des ausgewählten Desbordes-Niederschlags. Daher wird der Benutzer darauf hingewiesen, dass die drei Niederschlagszonen, die zur Beschreibung der Niederschläge in Frankreich verwendet werden, auf relativ alten Daten basieren und die Verwendung neuerer Niederschlagsdaten die Qualität der Ergebnisse verbessern würde. Aktuelle Montana-Koeffizienten erhalten Sie bei Meteo France.

Referenzen

[1] Circulaire interministérielle n° 77-284 du 22 juin 1977 concernant l'instruction technique relative aux réseaux d'assainissement des agglomérations. Imprimerie National, Paris

[2] La Ville et son assainissement, Principes, méthodes et outils pour une meilleure intégration dans le cycle de l'eau, 2003, CERTU, ISBN 2-11-094083-2