Método de Caquot

El "Métodos de Caquot" es un método de cálculo de caudal máximo desarrollado en Francia en los años 40. Originalmente fue desarrollado como una extensión del Método racional. El nombre del método procede de su inventor, el versátil ingeniero civil Albert Caquot (1881-1976). El método se utiliza principalmente en Francia y en algunos países de habla francesa.

El método se concibió en un momento en el que técnicamente no era posible calcular el hidrograma completo generado por una cuenca vertiente urbana. El caudal máximo era el único valor que podía utilizarse para poder ajustar el tamaño de las redes de drenaje. Obviamente, hoy en día este método es menos útil porque se puedan utilizar métodos hidrológicos más avanzados para calcular hidrogramas de descarga completos. Sin embargo, debido a su simplicidad, se sigue utilizando para ayudar en el diseño de redes de drenaje.

El método se publicó originalmente en 1941 y su uso ha sido recomendado por profesionales desde 1949. En 1977, el método se revisó [1]. Su aplicación en InfoDrainage se basa en la descripción de la guía de referencia "La Ville et son assainissement" [2].

Cambio de tamaño

El método de cambio de tamaño de tuberías utilizado en InfoDrainage es el mismo independientemente del método de cálculo de caudal seleccionado.

Nota: Es posible que esta opción no esté disponible para su región. Para obtener más información, consulte el tema Regionalización.

Ecuaciones

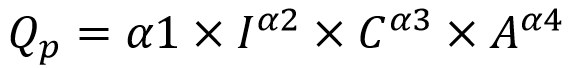
La fórmula principal utilizada en el "Método de Caquot" es la siguiente:

donde I es el talud medio de la cuenca vertiente (m/m), C es el coeficiente de escorrentía de la cuenca vertiente (generalmente se presupone que es igual al coeficiente de impermeabilización) y A es el área de cuenca vertiente (ha).

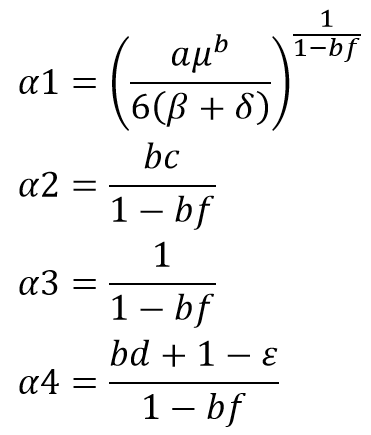
Los coeficientes se calculan utilizando los parámetros avanzados de las siguientes ecuaciones:

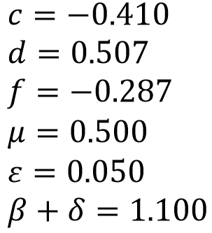
donde los parámetros a y b hacen referencia a los parámetros de la lluvia de Desbordes y los parámetros avanzados c, d, f, μ, ε, β, δ se derivan de los supuestos sobre la estimación del tiempo de concentración y almacenamiento en la cuenca vertiente, y la reducción de área de la lluvia. A continuación, se muestran los valores por defecto recomendados por los documentos de orientación a los que se hace referencia anteriormente. Estos se pueden utilizar en la mayoría de los casos, pero los usuarios también pueden editarlos.

Factor de corrección de forma

La fórmula anterior presupone que la cuenca vertiente tiene un factor de forma E aproximadamente igual a 2.

donde L es la longitud de la ruta hidráulica más larga de la cuenca vertiente y A es el área en m². Si el factor de forma E es muy diferente de 2, el caudal máximo Qp debe corregirse con el siguiente factor de corrección de forma:

Agrupación de cuencas vertientes

Las fórmulas anteriores se utilizan para calcular el caudal máximo generado por una única cuenca vertiente urbana. En la mayoría de las aplicaciones prácticas, habrá varias cuencas vertientes que representar. El Método de Caquot especifica cómo se deben agrupar varias cuencas vertientes para estimar el caudal máximo en el punto más extremo aguas abajo.

La distinción principal se da entre cuencas vertientes agrupadas en serie o en paralelo. Dado que en InfoDrainage las cuencas vertientes están conectadas a una conexión o a un control de aguas pluviales (y no a otra cuenca vertiente), en este contexto solo tiene sentido la agrupación en paralelo. En la tabla siguiente se muestran las relaciones utilizadas para calcular las propiedades equivalentes de varias cuencas vertientes agrupadas.

donde L(tcmax) es la longitud de la ruta de escorrentía de la cuenca vertiente con el tiempo de concentración más largo.

Para calcular los caudales máximos en todo el sistema de drenaje, InfoDrainage sigue la red desde todas las cuencas vertientes e identifica las uniones. En cada unión, InfoDrainage calcula las propiedades de cuencas vertientes equivalentes a partir de las dos o más ramificaciones de conexión. A continuación, estas propiedades de cuencas vertientes equivalentes se conservan en la memoria para utilizarlas posteriormente en el caso de que una cuenca vertiente agrupada se tenga que agrupar con otra cuenca vertiente.

Por ejemplo, analicemos la red simplificada que se muestra a continuación con las tres cuencas vertientes A, B y C. En la ubicación de red N1, el caudal máximo se estima calculando las propiedades (mediante agrupación paralela //) de AB = A // B. En la ubicación de red N2, el caudal máximo se estima calculando las propiedades de ABC = (AB) // C.

Limitaciones

Como el Método de Caquot es, en parte, un método empírico, su aplicabilidad se limita a la variedad de cuencas vertientes incluidas en el estudio original.

El Método de Caquot solo debe utilizarse en cuencas vertientes urbanas que no contengan estructuras de almacenamiento.

Además, el Método de Caquot utiliza los coeficientes de Montana de la lluvia de Desbordes seleccionada. Por lo tanto, se recuerda al usuario que las tres zonas de lluvia utilizadas para describir la pluviometría de Francia se basan en datos relativamente antiguos, y que el uso de datos de lluvia más recientes mejoraría la calidad de los resultados. Los coeficientes de Montana actualizados se pueden obtener de Meteo France.

Referencias

[1] Circulaire interministérielle n° 77-284 du 22 juin 1977 concernant l'instruction technique relative aux réseaux d'assainissement des agglomérations. Imprimerie National, París

[2] La Ville et son assainissement, Principes, méthodes et outils pour une meilleure intégration dans le cycle de l'eau, 2003, CERTU, ISBN 2-11-094083-2