Méthode de Caquot

La « méthode de Caquot » est une méthode de calcul des débits de pointe développée en France dans les années 1940, qui repose essentiellement sur la méthode rationnelle. La méthode tient son nom de son inventeur, Albert Caquot (1881-1976), ingénieur en génie civil dans des domaines variés. Elle est principalement utilisée en France et dans certains pays francophones.

La méthode a été conçue à une époque où il n’était pas techniquement possible de calculer l’hydrogramme complet généré par un bassin versant urbain. Le débit maximal était alors la seule valeur qui pouvait être utilisée pour aider à dimensionner les réseaux hydrographiques. Cette méthode apparaît aujourd’hui moins utile sachant que des méthodes hydrologiques plus avancées permettent d’estimer des hydrogrammes de débit sortant complets. Néanmoins, en raison de sa simplicité, elle est toujours utilisée pour aider à la conception des réseaux hydrographiques.

La méthode a été publiée pour la première fois en 1941 et son utilisation par les spécialistes a été recommandée à partir de 1949. Elle a ensuite été révisée en 1977 [1]. Dans InfoDrainage, sa mise en œuvre s’appuie sur le guide de référence intitulé « La Ville et son assainissement » [2].

Dimensionnement

La méthode de dimensionnement des canalisations utilisée dans InfoDrainage est la même, quelle que soit la méthode de calcul de débit sélectionnée.

Remarque : Il est possible que cette option ne soit pas disponible pour votre région. Pour en savoir plus, reportez-vous à la section Régionalisation.

Les équations

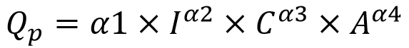
La formule principale utilisée par la méthode de Caquot est la suivante :

où I désigne la pente moyenne du bassin versant (m/m), C le coefficient d’écoulement du bassin versant (généralement considéré comme égal au coefficient d’imperméabilisation) et A l’aire du bassin versant (ha).

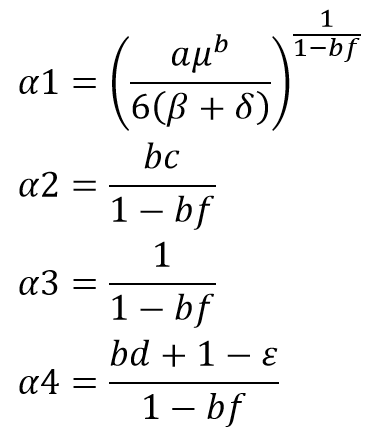
Les coefficients sont calculés à l’aide des paramètres avancés selon les équations suivantes :

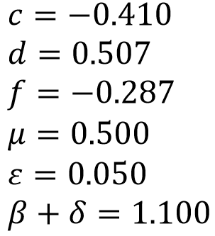
où les paramètres a et b font référence aux paramètres utilisés dans l’eau de pluie de Desbordes, et les paramètres avancés c, d, f, μ, ε, β et δ découlent des hypothèses sur l’estimation du temps de concentration et de stockage dans le bassin versant, et la réduction spatiale de l’eau de pluie. Les valeurs par défaut recommandées dans les références mentionnées plus haut sont affichées ci-après. Elles peuvent être utilisées dans la plupart des cas, mais peuvent également être modifiées par l’utilisateur si besoin.

Facteur de correction de forme

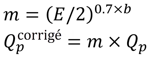
La formule ci-dessus suppose que le bassin versant a un facteur de forme E à peu près égal à 2.

où L désigne la longueur de la trajectoire hydraulique la plus longue dans le bassin versant et A désigne la superficie en m². Si le facteur de forme E est très différent de 2, le débit de pointe Qp doit être corrigé par le facteur de correction de forme suivant :

Regroupement de bassins versants

Les formules ci-dessus sont utilisées pour estimer le débit de pointe généré par un seul bassin versant urbain. Toutefois, la plupart des applications pratiques nécessitent de représenter plusieurs bassins versants. La Méthode de Caquot indique comment plusieurs bassins versants doivent être regroupés pour estimer le débit maximal instantané au point le plus en aval.

La principale distinction se fait entre les bassins versants regroupés de manière séquentielle et ceux regroupés de manière parallèle. Les bassins versants étant associés à une connexion ou à une technique alternative (et non à un autre bassin versant) dans InfoDrainage, seul le regroupement parallèle est utile dans ce contexte. Le tableau ci-dessous indique les relations utilisées pour calculer les propriétés équivalentes de plusieurs bassins versants groupés.

où L(tcmax) désigne la longueur du chemin d’écoulement du bassin versant ayant le temps de concentration le plus long.

Pour estimer les débits de pointe dans le système d’évacuation, InfoDrainage suit le réseau à partir de tous les bassins versants et identifie les raccordements. À chaque raccordements, InfoDrainage calcule les propriétés de bassin versant équivalentes à partir des deux branches de connexion, ou plus. Ces propriétés de bassin versant équivalentes sont ensuite conservées en mémoire pour être utilisées plus en aval si un groupe de bassins versants doit être regroupé avec un autre bassin versant.

Prenons l’exemple du réseau simplifié ci-dessous composé des bassins versants A, B et C. À l’emplacement du réseau N1, le débit de pointe est estimé en calculant les propriétés (via le regroupement parallèle //) de AB = A // B. À l’emplacement du réseau N2, le débit de pointe est estimé en calculant les propriétés de ABC = (AB) // C.

Limites

La méthode de Caquot étant en partie empirique, son champ d’application se limite aux bassins versants inclus dans l’étude initiale.

La méthode de Caquot ne doit être utilisée que sur les bassins versants urbains qui ne contiennent pas de structures de stockage.

De plus, la méthode de Caquot utilise les coefficients de Montana provenant de la pluviométrie de Desbordes sélectionnée. Toutefois, il est bon de rappeler que les trois zones de précipitations utilisées pour décrire la pluviométrie en France sont basées sur des données relativement anciennes et que l’utilisation de données pluviométriques plus récentes améliorerait la qualité des résultats. Les coefficients de Montana actuels peuvent être obtenus auprès de Météo France.

Références

[1] Circulaire interministérielle n° 77-284 du 22 juin 1977 concernant l’instruction technique relative aux réseaux d’assainissement des agglomérations. Imprimerie nationale, Paris

[2] La Ville et son assainissement, Principes, méthodes et outils pour une meilleure intégration dans le cycle de l’eau, 2003, CERTU, ISBN 2-11-094083-2