Share

Unidirectional Constants Tab

Specify the elastic constants and thermal coefficients for the lamina.

The following fields must be specified under the Constants tab (fields J, K, and L).

constants tab

J - Lamina Elastic Constants (required)

These are the standard lamina material properties. Helius PFA treats the lamina as transversely isotropic.

  • E11 (required): Young's modulus of lamina in fiber direction.

  • E22 (required): Young's modulus of lamina in transverse direction. (This modulus will be equivalent to the E33 modulus)

  • ν12 (required): In-plane Poisson ratio. (This ratio will be equivalent to the ν13 ratio)

  • ν23 (required): Intralaminar Poisson ratio.

  • G12 (required): In-plane lamina shear modulus. (This modulus will be equivalent to the G13 modulus)

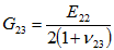
  • G23: Intralaminar shear modulus. This value is automatically computed using the equation below:

    g23

  • α11 (optional): Longitudinal coefficient of thermal expansion of the lamina. This is only required if a thermal analysis is desired.

  • α22 (optional): Transverse coefficient of thermal expansion of the lamina. This is only required if a thermal analysis is desired. (This coefficient will be equivalent to the α33 coefficient)

K - Fiber Elastic Constants (required)

Helius PFA treats the fiber constituent properties as transversely isotropic. If these constituent properties are not known, Autodesk has provided default constituent properties that can be entered by selecting a fiber under the fiber type drop-down menu and then clicking on "Apply Material Type Characteristics". The fiber type provides a starting point for constituent properties which will be modified when the mdata file is saved to correlate with the lamina properties you specify. Currently, default properties are only provided for carbon, glass, and Kevlar fibers. If you have a different material system, please contact Autodesk to complete a material characterization. If a thermal analysis is desired, the coefficients of thermal expansion must be entered. If the coefficients of thermal expansion of the composite are left at zero, the fiber thermal expansion must also be set to zero. A description of the origin of the default material properties is provided in Appendix A.

L - Matrix Elastic Constants (required)

By default, Helius PFA treats the matrix constituent properties as transversely isotropic. If you wish to force isotropic material symmetry of the matrix constituent, you can check on the "Keep matrix properties isotropic" check box. If these constituent properties are not known, Autodesk has provided default constituent properties that can be entered by selecting a matrix under the material type drop-down menu and then clicking on "Apply Material Type Characteristics". The matrix type provides a starting point for constituent properties which will be modified when the mdata file is saved to correlate with the lamina properties you specify. Currently, default properties are only provided for thermoset, thermoplastic, and BMI resins. If you have a different material system, please contact Autodesk to complete a material characterization. If a thermal analysis is desired, the coefficients of thermal expansion must be entered. If the coefficients of thermal expansion of the composite are left at zero, the matrix thermal expansion must also be set to zero. A description of the origin of the default material properties is provided in Appendix A.

Was this information helpful?