Share

Viscosity model for underfill encapsulation

The underfill viscosity model, which is a modification of the Herschel-Bulkley-WLF viscosity model for reactive materials, is used specifically for underfill encapsulants.

The underfill viscosity model includes an additional term, (thickness), as described below:

where

  • is the viscosity (Pa. sec.)
  • is the cavity thickness (meter)
  • is the viscosity at a reference thickness , and
  • and are data-fitted coefficients.

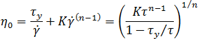
The viscosity at the reference thickness can be obtained from the following equation:

where

  • is the viscosity (Pa s)
  • is the shear rate (1/s)
  • is the temperature (K)
  • is the degree of cure (0–1), and
  • , , , , , , , and (gelation conversion) are data-fitted coefficients.
Note: For general thermoset materials, use either the Herschel-Bulkley-WLF viscosity model or the reactive viscosity model.

Was this information helpful?