Share

Fabricated Materials

A shell may be formed from a fabricated material such as a plate with closely spaced stiffeners.

An example calculation of the elasticity matrices for this equivalent material is given below.

A single set of orthotropic properties cannot be found to describe such 'materials' because their membrane and bending responses are very different. Instead, both the membrane and bending elasticity matrices must be specified directly for each element. These matrices are determined both by the material properties of the shell and by the shape of the section.

From the preceding discussion it can be seen that four values are required to define an elasticity matrix. They are designated Dx, Dy, Dp and Dxy, and so,

For the membrane elasticity matrix:

For the bending elasticity matrix:

The program allows the elasticity matrix for one mode of deformation to be specified, while allowing the elasticity matrix for the other mode to be calculated from the material and section properties.

The material and section properties of an element are not used to calculate an elasticity matrix if it has been specified directly.

  • If a load per unit volume is applied to an element, the thickness specified for the section of that element is used to interpret the load. The thickness is used to interpret the load even if it was not used to calculate the elasticity matrices.
  • The calculation of membrane force triads and bending moment triads is not affected by the way in which the elasticity matrix is defined. However for fabricated materials, the calculation of the resulting stress at different locations within the section can be difficult.
  • The standard computations for results using the section thickness are carried out as described in the topic Element Elastic Properties. For most fabricated materials they will NOT be valid.

Plate with stiffeners

As an example we show how the elasticity matrices of a plate with stiffeners on one side can be calculated.

Let the shell have a cross section of the form:

where:

    A   denotes the separation of the stiffeners

    D   denotes the depth of centroid of a stiffener below the bottom surface of the plate

    A   denotes the cross sectional area of a stiffener

    t   denotes the thickness of the plate

To complete the specification of the stiffeners we require:

    Ib   which denotes the inertia for major axis bending of a stiffener, and

    Ix   which denotes the torsional constant for a stiffener.

The shell is modeled by elements such that the stiffeners run in the local y axis direction of each element. Both the plate and the stiffeners are of the same material with Young's modulus (E) and Poisson's ratio (ν). The torsional modulus of the material (G) is used to calculate the torsional stiffness of a stiffener.

All the membrane properties are unaltered except in the direction of the stiffeners, so that:

In the direction of the stiffeners, there is an additional contribution, so that:

The bending stiffness perpendicular to the stiffeners is provided by the plate alone so that:

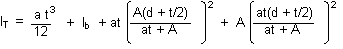
The bending stiffness along the line of the stiffeners can be derived from the inertia of a T section of width a.

Defining IT to be inertia of the T-section we have:

where:

   

The effective Poisson's ratio for bending is small so that

Dpb ≈ 0

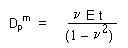
The torsional bending stiffness contains a component from the torsional stiffness of the plate and a component from the torsional stiffness of the stiffeners so that:

The calculation of the elasticity matrices is based on that given in Timoshenko and Woinowsky-Krieger, McGraw Hill, second edition, page 369.


Top of Page

Was this information helpful?