
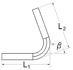
Blechbauteile werden anhand ihres Faltungs- oder Funktionsstatus definiert, werden jedoch aus einem flachen Blech hergestellt. Durch die Biegungen, die zum Erstellen der Abwicklung abgewickelt werden, wird das Material innerhalb der Biegezone verformt. Der Umfang der Verformung hängt von verschiedenen Variablen ab. Bei der Umwandlung des gefalteten Modells in den abgewickelten Zustand muss die Verformung mithilfe einer der folgenden drei Methoden berücksichtigt werden:
Verwenden Sie benutzerdefinierte Gleichungen, um anzugeben, wie die Abwicklung von Biegezonen in gefalteten Blechbauteilmodellen umgesetzt werden soll. Diese benutzerdefinierten Gleichungen werden innerhalb einer benannten Abwicklungsregel definiert, die im Dialogfeld Stil- und Normen-Editor festgelegt wird.
Die Gleichungstypen für die Auflösung der abgewickelten Verformung werden im Folgenden näher erläutert.

Mit der Gleichung für den Biegungsausgleich können Sie die abgewickelte Gesamtlänge mit folgender Gleichung ermitteln:
Dabei gilt:
|
|
ist die abgewickelte Gesamtlänge |
|
|
ist die Länge von der ersten Detailfläche bis zur virtuellen Schnittebenenlinie |
|
|
ist die Länge von der zweiten Detailfläche bis zur virtuellen Schnittebenenlinie |
|
|
ist das Ergebnis der Biegetoleranzberechnung |
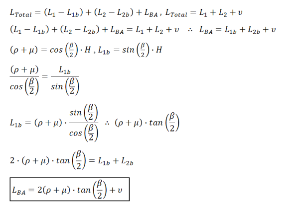
Die Biegetoleranz wird in Inventor mithilfe der folgenden Gleichungen berechnet. Für Winkel:
Verwendete Gleichung:
Dabei gilt:
|
|
ist der Biegungswinkel |
|
|
ist die Länge der Biegetoleranz |
|
|
ist der Innenradius der Biegefläche |
|
|
ist die Blechstärke |
|
|
ist das Ergebnis der Biegetoleranzberechnung |
Wenn Sie die ursprüngliche Gleichung erweitern, um die Ergebnisse der Biegetoleranzberechnung einzuschließen, hat dies folgende Auswirkungen:


Für Winkel:

Die folgende Gleichung wird verwendet:
Wenn Sie die ursprüngliche Gleichung erweitern, um die Ergebnisse der Biegetoleranzberechnung einzuschließen, hat dies folgende Auswirkungen:


Nachdem die Biegetoleranz ermittelt wurde, kann der KFaktor wie folgt abgeleitet werden:


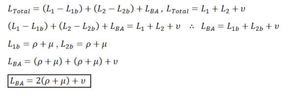
Mit der Gleichung für den Biegungsabzug können Sie die abgewickelte Gesamtlänge mit folgender Gleichung ermitteln:
Dabei gilt:
|
|
ist die abgewickelte Gesamtlänge |
|
|
ist die Länge von der ersten Detailfläche bis zur virtuellen Schnittebenenlinie |
|
|
ist die Länge von der zweiten Detailfläche bis zur virtuellen Schnittebenenlinie |
|
|
ist das Ergebnis der Biegetoleranzberechnung |
Die Gleichung für den Biegungsabzug stellt eine Berechnungsmethode dar, die im Prinzip das genaue Gegenteil der Biegungsausgleichmethode ist.
Für den Biegungsabzug berechnet Inventor mithilfe der folgenden Gleichungen eine Biegetoleranz. Für Winkel:

Verwendete Gleichung:

Dabei gilt:
|
|
ist der Biegungswinkel |
|
|
ist die Länge der Biegetoleranz |
|
|
ist der Innenradius der Biegefläche |
|
|
ist die Blechstärke |
|
|
ist das Ergebnis der Biegetoleranzberechnung |
Für Winkel:
Verwendete Gleichung:

Mit der Gleichung für die Biegetoleranz können Sie die abgewickelte Gesamtlänge mit folgender Gleichung ermitteln:
Dabei gilt:
|
|
ist die abgewickelte Gesamtlänge |
|
|
ist die Länge der ersten Biegefläche |
|
|
ist die Länge der zweiten Biegefläche |
|
|
ist das Ergebnis der Biegetoleranzberechnung |
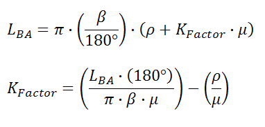
Es wird eine definierte Gleichung zur direkten Auflösung der Biegetoleranz bereitgestellt. Der KFaktor kann anhand der folgenden Gleichung abgeleitet werden:


Beim Ermitteln der abgewickelten Gesamtlänge mithilfe des KFaktors wird die folgende Gleichung verwendet:
Dabei gilt:
|
|
ist die abgewickelte Gesamtlänge |
|
|
ist die Länge der ersten Biegefläche |
|
|
ist die Länge der zweiten Biegefläche |
|
|
ist das Ergebnis der Biegetoleranzberechnung |
Die Biegungszugabe wird mithilfe der folgenden Gleichung ermittelt: