Es gibt zwei Multiplikatoren, mit denen die Größe verschiedener elektrostatischer Lasten gesteuert wird, wenn sie auf das Modell angewendet werden. Diese befinden sich auf der Registerkarte Allgemein des Dialogfelds Analyseparameter. Der Wert im Feld Randspannungs-Multiplikator multipliziert die Größen aller angewendeten Spannungen im Modell. Der Wert im Feld Strom- oder Ladungsquellen-Multiplikator multipliziert die Größen für alle Ladungen oder Stromlasten im Modell.
Ein Wert von Null in diesen Feldern, mit Ausnahme desRandspannungs-Multiplikators, deaktiviert die Lasten dieses Typs im Modell. Ein Wert von 0 im Feld Randspannungs-Multiplikators ändert die Größe der angewendeten Spannungen in 0.
Wenn bei 2D-Modellen das Kontrollkästchen Flussliniengenerator aufrufen auf der Registerkarte Optionen des Dialogfelds Analyseparameter aktiviert ist, wird der theoretische Pfad eines masselosen Partikels durch das Modell berechnet. Diese Ergebnisse werden in der Ergebnisanzeige angezeigt.
Die Kräfte, die durch das elektrostatische Feld entstehen, können für einzelne Flächen des Modells (in der Regel eine Begrenzung zwischen Materialien) berechnet werden. Zum Berechnen dieser Kräfte aktivieren Sie im Dialogfeld Analyseparameter auf der RegisterkarteOptionen das KontrollkästchenBerechnung Kraft/Ladung aufrufen. Geben Sie in der Tabelle Kraft-/Ladungsausgabe die Bauteile und Flächen an, für die Kräfte berechnet werden sollen. (Siehe Seite Überblick über die Vernetzung: Erstellen und Bearbeiten von Geometrie im FEM-Editor: Werkzeuge: Ändern von Attributen und Duplizieren, um Details zum Ändern der Bauteil- und Flächennummern zu erhalten, falls erforderlich.)
Da die elektrostatische Kraft normalerweise an der Grenze zwischen zwei Bauteilen berechnet wird, könnte sich die für den Kraftgenerator anzugebende Bauteil- und Flächennummer auf einem oder auf beiden in Kontakt stehenden Körpern (beispielsweise Leiter und Luft) befinden. Welche Oberfläche ist geeignet?
Legen Sie zunächst fest, wo die Kraft angezeigt werden soll. Die anschließend zu bestimmende Fläche ist das Bauteil und die Fläche auf dem entsprechenden Bauteil im Modell. Wenn Sie beispielsweise die für einen Leiter zu verwendenden Kräfte bestimmen möchten, verwenden Sie die Flächennummer der Luft für den Kraftgenerator. Verwenden Sie die Flächennummer von der Oberfläche des Leiters, um die für die Luft zu verwendenden Kräfte zu bestimmen.
Da die Kräfte auf den übereinstimmenden Bauteilen (in diesem Fall Luft und Leiter) gleich und entgegengesetzt sein sollten, könnten Sie möglicherweise annehmen, dass es unerheblich ist, welches Bauteil für die Flächennummern ausgewählt wird, sofern die Richtung (positiv oder negativ) für die Analyse nicht entscheidend ist. In der Praxis ist dies nicht der Fall. Die Coulomb-Kraft hängt von der Änderung im elektrischen Feld und der Netzgröße an der Oberfläche ab. Je kleiner das Netz ist, desto genauer werden die Ergebnisse. Je größer die Änderung im elektrischen Feld ist, desto größer ist die Kraft. Die meisten Körper verfügen über eine Dielektrizitätskonstante größer als 1 (Luft/Vakuum). Somit ist die Änderung des elektrischen Felds im Körper kleiner als in der Luft. Ein wesentlich kleineres Netz ist erforderlich, um genaue Kräfte von der Oberfläche des Körpers im Vergleich zur Fläche der Luft zu erhalten.
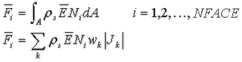
Die entscheidende Gleichung für die Kraft auf wärmeleitenden Oberflächen lautet wie folgt:
Dort, wo das Flächenintegral über dem Bereich der wärmeleitenden Oberfläche ausgeführt wird und

Für ein typisches Element:

Dabei gilt:
ρ s = Ladungsdichte auf der Oberfläche
E = elektrostatisches Feld
N i , w k , J k = Form- und Gewichtsfunktionen sowie Jacobi, die die Fläche angeben
Die Ergebnisse des Kraftgenerators können in der Ergebnisanzeige (Ergebniskonturen
Spannung und Feldstärke
Elektrostatische Kraft) angezeigt werden. Außerdem können die Kräfte auf ein Spannungsmodell angewendet werden, um den Effekt aufgrund der elektrostatischen Kräfte zu berechnen. Weitere Informationen finden Sie unter Absatz Importieren von Reaktionskräften aus einer Strömungs- oder elektrostatischen Berechnung auf der Seite Einrichten und Durchführen der Analyse: Linear: Lasten und Abhängigkeiten: Kraft.
Die elektrostatische Ladung kann zum Berechnen der Kapazität einer Gruppe mit Leitern verwendet werden, wenn die richtigen Lasten angewendet werden. Die äußere Oberfläche jedes einzelnen Leiters muss in einer eindeutigen Oberfläche platziert werden. Wenn ein Modell aus drei Leitern besteht, wenden Sie Spannungen von 1 V auf einen der Leiter (Primärleiter) und 0 V auf die anderen Leiter an. Addieren Sie in der Ergebnisanzeige die elektrostatische Ladung auf der Oberfläche des Primärleiters. Hierbei handelt es sich um die Eigenkapazität des Leiters. Die Summe der elektrostatischen Ladung auf jedem der zwei verbleibenden Leiter ist die Betriebskapazität zwischen dem Leiter und dem Primärleiter. Dieser Vorgang kann mit einem anderen Primärleiter wiederholt werden, um die Kapazitätsmatrix zu erstellen.
Der Solvertyp für eine elektrostatische Analyse kann im Dialogfeld Analyseparameter auf der Registerkarte Lösung im Dropdown-Feld Solvertyp ausgewählt werden. Hintergrundinformationen finden Sie auch unter Verfügbare Solvertypen. Die verfügbaren Optionen lauten wie folgt:
Wenn Sie die Lösungsmatrix erstellen, jedoch nicht die Analyse durchführen möchten, aktivieren Sie das Kontrollkästchen Stopp nach Steifheitsanalysen. Dies ist nützlich, wenn der Zugriff auf die Matrix der Gleichungszahl erforderlich ist. Andernfalls wird die Steifheitsmatrix stets beim Ausführen einer Analyse berechnet. Unter normalen Bedingungen stellt die Verwendung dieser Option keinen Vorteil dar.
Für die Solver Sparse und Iterativ steuern die Felder Prozentsatz der Speicherzuweisung, wie viel des verfügbaren RAM verwendet wird, um die Elementdaten zu lesen und die Matrizen herzustellen. Ein kleiner Wert wird empfohlen. (Wenn der Wert kleiner oder gleich 100 % ist, wird der verfügbare physikalische Arbeitsspeicher verwendet. Wenn der Wert dieser Eingabe größer ist als 100 %, verwendet die Speicherzuweisung den verfügbaren physischen und virtuellen Speicher).
Wie bereits erwähnt, nutzen einige Solver die auf dem Computer verfügbaren Gewinde/Kerne. Das Dropdown-Feld Anzahl der Threads/Kerne ist in solchen Fällen aktiviert. Für die schnellste Lösung möchten Sie womöglich alle verfügbaren Threads/Kerne verwenden, doch sollten Sie sich für weniger Threads/Kerne entscheiden, wenn Sie noch Rechenleistung für die Ausführung anderer Anwendungen während der Analyse benötigen.
Wenn diese Option ausgewählt wird, wird der Bereich Iterativer Solver aktiviert. Die Eingabe für diesen Abschnitt ist wie folgt:
Wenn diese Option ausgewählt ist, wird der Bereich Solver "Sparse" aktiviert. Die Eingabe für diesen Abschnitt ist wie folgt:
Nachdem die Analyse abgeschlossen ist, können die Ergebnisse der Analyse in einer Textdatei ausgegeben werden. Im Dialogfeld Analyseparameter auf der Registerkarte Ausgabe können Sie die Daten festlegen, die in dieser Datei ausgegeben werden.
Es gibt zwei Methoden für die Handhabung von verklebten Verbindungen. Die verwendete Methode hängt davon ab, ob die Knoten zwischen den beiden Bauteilen übereinstimmen.
Durch Aktivieren der Option Intelligenter verklebter/verschweißter Kontakt ein werden ggf. Mehrpunktabhängigkeits-Gleichungen (MPCs) verwendet, um die Knoten von Teil A, Fläche B, mit den nächsten Knoten von Teil C, Fläche D, zu verbinden. Formfunktionen interpolieren das Potenzial der Knoten auf Fläche B und der Knoten auf Fläche D. Daher müssen die Netze zwischen den Teilen nicht übereinstimmen. Die Mehrpunkt-Abhängigkeiten werden für alle Knoten auf dem Flächenkontaktpaar verwendet, wenn ein Knoten nicht übereinstimmt. Wenn die Netze nicht mit allen Knoten übereinstimmen, wird der übereinstimmende Knoten für die Bindung der Kontaktfläche verwendet. Die beiden Knoten auf den angrenzenden Bauteilen werden zu einem Knoten zusammengefasst, und MPC-Gleichungen werden für die Kontaktflächen nicht verwendet. Die Optionen für die Dropdown-Liste zum intelligenten Verkleben sind wie folgt:
Die Option zur intelligenten Verklebung gilt für verklebte Kontakte und verschweißte Kontakte. Für andere Kontaktarten (außer für freie Kontakte) müssen die Knoten abgeglichen sein. Siehe Seite Überblick über die Vernetzung: Erstellen von Kontaktpaaren: Kontakttypen für eine Diskussion zur Definition von Kontakt und Verwendung der intelligenten Bindung.
Bei der intelligenten Verklebung wird zum Lösen der Analyse standardmäßig die Kondensierungsmethode eingesetzt. Wenn die Analyse nicht konvergiert oder nicht den Erwartungen entspricht, können Sie eine andere Lösungsmethode für MPC-Gleichungen verwenden (siehe Mehrpunkt-Abhängigkeiten). Klicken Sie auf Setup
Lasten
Mehrpunkt-Abhängigkeit, und wählen Sie unter Lösungsmethode eine Option aus. Wenn Sie die Strafmethode verwenden, wird die Genauigkeit der Lösung vom Feld Pönale gesteuert. Die Pönale, die die maximale diagonale Steifigkeit im Modell multipliziert, wird während der Straflösung verwendet. Ein Wert im Bereich von 10
2
bis 10
4
wird empfohlen.
Wenn die Option Intelligenter verklebter/verschweißter Kontakt ein nicht aktiviert ist, werden die Bauteile nur verbunden, wenn die Knoten zwischen den Bauteilen übereinstimmen.