非定常熱伝導解析のイベント持続時間と時間ステップサイズを定義するパラメータが 4 つあります。これらは、[解析パラメータ]ダイアログ ボックスの[イベント]領域で指定します。解析は複数の時間間隔に分割できます。また、間隔ごとに異なる時間ステップ サイズを指定できます。たとえば、高温の鋼鉄を液体槽に入れると、解析の初期の段階で急速に冷却されます。この場合、間隔の時間ステップを短く設定します。パーツが安定化すると、時間ステップを長くします。これにより、解析結果を効率的に得ることができます。
非定常熱伝導解析では、すべての荷重が荷重曲線に従います。荷重曲線は、[荷重曲線]ボタンをクリックして表示される[解析パラメータ]ダイアログ ボックスで定義します。荷重曲線の[係数]列の値による各熱荷重パラメータの処理を確認するには、次の表を参照してください。
| パラメータ | 係数によるパラメータの処理 |
|---|---|
| 指定温度の大きさ | 「指定温度」を参照 |
| 熱伝達係数 | 乗算 |
| 熱伝達環境温度 | 「熱伝達」を参照 |
| 輻射関数 | 乗算 |
| 輻射環境温度 | 「輻射」を参照 |
| サーフェス熱流束 | 乗算 |
| 内部発熱 | 乗算 |
| 節点熱源 | 乗算 |
| 物体間輻射の環境温度 | 乗算 |
荷重曲線は 2 つの作成方法があります。[荷重曲線フォーム]領域の[区分線形]ラジオ ボタンをクリックすると、複数の時間と対応する係数を定義して、荷重曲線を定義できます。定義した時間と時間の間に係数値が線形的に補間されます。[荷重曲線フォーム]領域の[正弦曲線]ラジオ ボタンをクリックすると、正弦曲線のパラメータを下部の各フィールドで定義できます。
モデルへの適用時に各種熱荷重の大きさをコントロールする乗数が 4 つあります。これらは、[解析パラメータ]ダイアログ ボックスの[乗数]タブにあります。
[境界温度乗数]フィールドを除き、これらのフィールドに 0 の値を指定すると、当該タイプの荷重がモデルで無効になります。[境界温度乗数]フィールドに 0 の値を指定すると、指定温度の大きさが 0 度に変更されます。
[解析パラメータ]ダイアログ ボックスの[オプション]タブの[節点温度の既定値]フィールドの値は、初期温度が定義されていない節点の初期温度を定義する場合に使用します。非定常解析を 0 度の温度で開始する場合を除き、解析開始時の温度を指定する必要があります。
前回の温度解析の結果は、非定常熱伝導解析の初期温度プロファイルとして使用できます。その場合、次の 2 通りの方法があります。
[オプション]タブの[初期節点温度のソース]ドロップダウン ボックスで適切な解析タイプを選択します。[既存のモデル]フィールドでモデルを選択します。別の非定常熱伝導解析を実行していて、中間時間ステップを使用する場合は、[熱伝導解析からの時間ステップ]ドロップダウン ボックスから[指定された]を選択し、[時間ステップ]フィールドで時間ステップを指定します。この機能により、次に示すようにリスタート解析を実行することができます。リスタート機能の詳細については、下記の「解析をリスタートする」を参照してください。
1 つの解析で荷重曲線全体を記述する代わりに、非定常解析を別々の解析に分割する方が望ましい場合があります。たとえば、パーツの加熱後に、複数の冷却シナリオを調査する必要が生じる場合があります。この場合、パーツの非定常熱の解析用にファイルを 1 つ使用し、冷却シナリオごとの解析用に別々のファイルを使用できます。これを実施するには、2 番目のモデル(リスタート解析)の初期温度を最初のモデルの最終温度として選択します。これは、[解析パラメータ]ダイアログ ボックスの[オプション]タブで指定します。
解析ごとにパラメータを変更する複数段階の非定常解析の場合、同じ手順を繰り返し使用できます。この場合、次の手順を実行します。
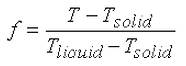
)を押してください。ダイアログ ボックスが表示され、結果ファイルを選択できます。[ファイル タイプ:]プルダウンから[熱解析結果ファイル(*.to, *.tto)]を選択します。 部品に相変化材料モデルが含まれている場合、[解析パラメータ]ダイアログ ボックスの[オプション]タブの[液体断片関連性]プルダウンから液相率の計算方法を選択します。次のオプションを指定できます。


平衡分配係数と溶融温度が適用されるため、この方法は一般的に合金でのみ使用されます。
ここで
節点の温度が固相線温度より低い場合、分率は 0 に等しくなります。節点の温度が液相線温度より高い場合、分率は 1 に等しくなります。
ジオメトリおよびメッシュが現在解析中のモデルと同じモデルに対して、静電電流と電圧解析を以前に実行している場合、このモデルに静電結果を適用して、電流の温度効果を特定できます。このプロセスでは、準拠する必要があるガイドラインがいくつかあります。
[解析パラメータ]ダイアログ ボックスの[解法]タブの[ソルバーのタイプ]ドロップダウン ボックスで、熱解析のソルバーのタイプを選択できます。関連情報については、「使用可能なソルバー タイプ」も参照してください。次のオプションを指定できます。
何らかの理由により解析マトリックスを作成するが、解析は実行しない場合、[剛性計算の後に停止]チェック ボックスをオンにします。これが有用になると考えられるのは、方程式番号マトリックスにアクセスする場合のみです。解析を実行すると、常に剛性マトリックスが計算されます。このため、通常の状況では、このオプションを使用する利点はありません。
スパース行列および反復法ソルバーの場合、要素データの読み取りおよびマトリックスの作成で使用できる RAM の容量を[メモリ割り当てのパーセンテージ]フィールドでコントロールします。低い値を指定することをお勧めします。(値が 100% 以下となる場合は、使用可能な物理メモリが使用されます。 100% より大きな値を指定すると、メモリ割り当てにより使用可能な物理メモリと仮想メモリが使用されます。
上記で説明したように、一部のソルバーでは、コンピュータの複数のスレッド/コアを利用できます。これに該当する場合、[スレッド/コアの数]ドロップダウンが有効になります。解析結果を最速で得られるようすべてのスレッド/コアを使用できます。ただし、解析と同時に他のアプリケーションを実行するための演算処理能力が必要な場合は、スレッド/コアの数を少なくするよう選択することもできます。
反復ソルバーを選択した場合、[反復ソルバー]領域が有効になります。この領域で指定できるオプションを次に示します。
反復法(PBiCGStab)ソルバーを選択すると、次のオプションが有効になります。
物体間輻射が含まれているモデルは、既定で温度と放射フラックスの結果を連成して解析されます。ただし、大きなモデルの場合は解析時間が長くなる可能性があります。[解析アルゴリズム]ドロップダウン ボックスから[分離した]オプションを選択すると、これら 2 つの方程式の解を別々に求めることができます。このオプションを選択した場合、[温度のためのソルバー]と[放射フラックスのためのソルバー]ドロップダウン ボックスを使用して、値ごとにソルバーを個別に選択できます。[自動]オプションを選択すると、モデルのサイズに基づいて使用可能な 2 つのソルバーのいずれかが自動的に選択されます。
スパース ソルバーを選択した場合、[スパース ソルバー]領域が有効になります。このセクションの入力内容は次のとおりです。
解析の完了後に、解析結果をテキスト ファイルに出力できます。[出力]タブ([解析パラメータ]ダイアログ ボックス)を使用して、このファイルに出力されるデータをコントロールできます。
特定のモデルに対して非定常熱伝導解析を以前に実行している場合、解析をリスタートできます。これは、解析が完了している場合、または完了前に解析を停止した場合に実行できます。最初に、[解析パラメータ]ダイアログ ボックスの[リスタート]タブの[解析のリスタートを実行]チェック ボックスをオンにする必要があります。結果の直前の時間ステップから解析を続行するには、[リスタート解析を開始]ドロップダウン ボックスから[最後の完了したステップで]オプションを選択します。別の時間ステップから解析を続行するには、[指定された時間で]オプションを選択し、目的の時間を指定します。
リスタート解析の別の実行方法については、上記の「既定の節点温度」を参照してください。
モデルに輻射荷重または温度依存の特性(熱伝達、材料など)が含まれている場合、適切な温度を特定するために解析で非線形反復プロセスが実行されます。このプロセスは、[解析パラメータ]ダイアログ ボックスの[高度]タブでコントロールできます。
モデルに上記の条件のいずれかが該当する場合、[実行]チェック ボックスをオンにします。[反復の最大数]フィールドでは、プロセッサで実行できる解析の反復回数をコントロールできます。指定した反復回数より後の結果が解析結果として使用されます。反復の最大数より前に適切な解析結果が収束される場合もあります。
反復プロセスを停止するオプションが 5 つあります。これらは、[基準]ドロップダウン ボックスで選択できます。[すべての N 反復を行う]オプションを選択した場合、[反復の最大数]フィールドで指定した回数の反復がすべて実行されます。[収束ノルムが < E1 のとき停止(case 1)]オプションを選択した場合、収束ノルムが[修正許容誤差]フィールドの値未満になったときに、反復が停止します。[相対ノルムが < E2 のとき停止(case 2)]オプションを選択した場合、相対ノルムが[相対許容誤差]フィールドの値未満になったときに、反復が停止します。[ケース 1 または 2 のとき停止]オプションを選択した場合、収束ノルムが[修正許容誤差]フィールドの値未満になったとき、または相対ノルムが[相対許容誤差]フィールドの値未満になったときに、反復が停止します。[ケース 1 および 2 両方のとき停止]オプションを選択した場合、収束ノルムが[修正許容誤差]フィールドの値未満になり、かつ相対ノルムが[相対許容誤差]フィールドの値未満になったときに、反復が停止します。
収束の質を特定するために計算される値が 2 つまたは 4 つあります。最初の値は収束ノルムです。収束ノルムは次のように計算されます。

ここで、numnp はモデル内の節点の総数、Told は前の反復の温度、Tnew は現在の反復の温度です。 このノルムは、反復間の温度差を基準にしているため、収束ノルムという名称になっています。
収束の 2 番目の値は相対ノルムです。これは次のように計算されます。

このノルムは、反復間の温度の相対的変化に類似しているため、相対ノルムという名称になっています。[修正許容誤差]フィールドでは、収束ノルムの最大値を定義できます。[相対許容誤差]フィールドでは、相対ノルムの最大値を定義できます。
解析に物体間輻射が含まれている場合、収束は熱流束も基準にします。解析に相変化が含まれている場合、収束は液相率も基準にします。熱流束または液相率に基づいた収束ノルムおよび相対ノルムの方程式は、上記の方程式と同じです(温度を熱流束または液相率に置き換えます)。
反復後の節点の温度(Tnew)は、最終収束値より高くなったり低くなる場合があります。 このため、この値は次の反復の入力値として使用できない場合があります。[緩和パラメータ]フィールドでは、こうした振動を最小化するための値を指定できます。緩和パラメータは次のように使用します。
Tcur = Told + (緩和パラメータ)*(Tnew - Told)
グラフィック形式では、異なる結果間の関係を図 1 のように示すことができます。Tcur、つまり緩和パラメータの効果は結果ファイルに出力される値です。

図 1: 緩和パラメータのグラフィックによる説明
非線形の効果が小さい場合、0.8 ~ 1 の範囲の緩和パラメータを指定すると、有効な収束が得られます。高温での輻射など、非線形の効果が大きい場合、0.1 ~ 0.3 の範囲の緩和パラメータを指定して、振動を平滑化する必要があります。収束履歴をログ ファイルで確認できます。
非定常熱伝導解析の解析時間の一部は、時間ステップごとの剛性マトリックスの作成に費やされます。 このマトリックスは、すべての時間ステップで再計算する必要がない場合があります。つまり、1 回おきの時間ステップでの更新で十分な場合があります。これにより、計算時間を短縮できます。また、マトリックスの更新がまったく必要でない場合もあります。
マトリックスの再計算の頻度は、[高度]タブの[マトリックス改正間の時間ステップ数]で指定します。次の係数の場合、正確な結果を得るにはマトリックスを頻繁に再計算する必要があります(すべてのステップまたは 1 回おきのステップ)。
0 に設定すると、解析の開始時にマトリックスが計算され、それ以降は更新されません。
接着連結の処理には 2 通りの方法があります。適用する方法は、2 つのパーツ間で節点が一致しているかどうかによって一部決まります。
[スマート接着/溶接接触を有効化]チェック ボックスをオンにすると、パーツ A、サーフェス B 上の節点をパーツ C、サーフェス D 上の最も近い節点と接着する必要がある場合に、多点拘束(MPC)方程式が使用されます。形状関数により、サーフェス B 上の節点の温度がサーフェス D 上の節点に補間されます。したがって、パーツ間でメッシュを一致させる必要はありません。すべての節点が一致しない場合、サーフェス接触ペアのすべての節点について常に MPC が使用されます。すべての節点でメッシュが一致する場合、接触サーフェスの接着に節点マッチングが使用されます。隣接するパーツの 2 つの頂点が 1 つの節点に統合されます。接触平面の場合、MPC 方程式は使用されません。[スマート接着]ドロップダウンのオプションを次に示します。
スマート接着オプションは、接着接触および溶接接触に適用されます。その他のタイプの接触(自由を除く)では、節点を一致させる必要があります。接触の定義およびスマート接着の使用方法に関する詳細については、「メッシュ作成の概要」の「接触ペアを作成する」の「接触のタイプ」を参照してください。
既定では、スマート接着は縮合法を使用して解析の解を求めます。解析が収束しなかったり、想定どおりに実行されない場合は、MPC 方程式で使用する別の解法を選択することもできます(「多点拘束」を参照)。[セットアップ]
[荷重]
[多点拘束]をクリックし、[解析手法]オプションから選択します。 [ペナルティ法]を使用する場合、[ペナルティ乗数]フィールドを使用することによって、解の精度をコントロールできます。ペナルティ解析時に、モデル内の最大斜め剛性を乗じるペナルティ乗数が使用されます。104 ~ 106 の範囲の値を指定することをお勧めします。
[スマート接着/溶接接触を有効化]チェック ボックスをオフにすると、パーツ間で節点が一致している場合にのみパーツが接着されます。