Bei Auswahl dieser Option werden alle Ergebniskonturen aus dem Modell entfernt und die Standardfarben für die Schattierung und die Netzlinien verwendet.
Durch diese Option wird Farbe auf das Modell angewendet, um die Verschiebung darzustellen. Folgende Befehle stehen zur Verfügung:
Durch diese Option wird Farbe auf das Modell angewendet, um die Drehung an jedem Knoten darzustellen. Dieses Ergebnis ist nur für Knoten auf Elementen gültig, die einer Drehung Stand halten. Beispiel: Für Knoten auf Quaderelementen sind nur die drei Translations-Freiheitsgrade verfügbar. Daher wird die Rotationsverschiebung nicht berechnet. Knoten auf Balkenelemente halten allen drei Rotationen Stand. Knoten auf Plattenelemente halten den beiden Rotationen in der Ebene Stand. Folgende Befehle stehen zur Verfügung:
Die Rotationsergebnisse müssen in einer Analyse großer Verformungen (MES oder nichtlineare Analyse) mit mehreren Rotationen mit Vorsicht interpretiert werden. Die Rotationsergebnisse enthalten den gesamten Verlauf der Bewegung und sind daher abhängig vom Pfad. Als Beispiel dient die folgende Abbildung. (Die Verschiebungsergebnisse sind nicht vom Pfad abhängig.)

Ein L-förmiger Balken beginnt in der XZ-Ebene.

Der Balken wird in einem ersten Schritt um -90 Grad um die X-Achse gedreht.

Im zweiten Schritt wird der Balken um 90 Grad um die Z-Achse gedreht.

Im dritten Schritt wird der Balken um 180 Grad um die Y-Achse gedreht.

Im vierten Schritt wird der Balken um -90 Grad um die Z-Achse gedreht.
Wenn Sie die Endposition mit der Anfangsposition vergleichen, scheint es, als wären die endgültigen Rotationsergebnisse ein Nettowert von +90 Grad um die X-Achse und 0 Grad um die Y- und Z-Achse. In Analysen für große Verformungen sind die Ergebnisse -90 Grad um die X-Achse, 180 Grad um die Y-Achse und 0 Grad um die Z-Achse.
Da die Verschiebungsergebnisse vom Pfad unabhängig sind, lauten die endgültigen Verschiebungsergebnisse 0 in X sowie -L in Y und Z, wobei L für die Länge des kurzen Schenkels steht.
Im obigen Beispiel ist der Unterschied zur Option Große Festkörperdrehung (Einstellung im Dialogfeld Elementdefinition des Balkenelements) die Visualisierung der Balkenausrichtung. Die Ausrichtung der Achsen 2 und 3 ist nur bei Verwendung der großen Festkörperrotation korrekt.
Es stehen verschiedene analytische Verfahren zur Verfügung, mit denen Sie die Eignung des Modells ermitteln können. In der Ergebnisanzeige haben Sie Zugriff auf viele dieser Verfahren, indem sowohl die Rohspannungen in lokalen Koordinaten als auch viele aus diesen Rohspannungen abgeleiteten Mengen bereitgestellt werden. Abgeleitete Mengen beinhalten von Mises- und Tresca-Kriterien, minimale und maximale Hauptspannung sowie elementspezifische Ausgaben. Da die Genauigkeit der analytischen Ergebnisse von der Konstruktion des Netzes und der Anwendung von FEM-Parametern abhängt, bietet die Ergebnisanzeige eine Genauigkeitsschätzung an gemeinsamen Knoten. Dieser Genauigkeitswert unterstützt Sie dabei, die Eignung des Modells zu bestimmen.
Die Software verwendet die Spannung-zu-Knoten-Methode für die Berechnung von Spannungsschätzungen. Mithilfe eines Extrapolationsschemas bieten Berechnungen auf Grundlage der Knotenspannungen meist eine höhere Genauigkeit als Berechnungen, die anhand der Spannungen innerhalb der Elemente abgeleitet werden. Durch die Anzeige von Spannungen an Knoten wird eine realistischere und praktischere Darstellung eines Modells unter Last erzeugt, da die Spannungswerte an Knoten aussagekräftiger sind als die für das gesamte Element berechneten Spannungswerte.
Die für Elemente berechneten Spannungen haben Spannungsinformationen an Gaußschen Punkten zur Folge. Gaußsche Punkte sind die numerischen Integrationspunkte, an denen die finite Elementlösung und die theoretische Lösung die größte Ähnlichkeit aufweisen. Bei dem älteren Verfahren wurde der Durchschnitt dieser Spannungen an der Mitte oder den Flächen von 2D-Elementen und dem Zentroid von 3D-Elementen gebildet. Dieser konnte relativ große Unterschiede zwischen angrenzenden Elementen aufweisen. Da finite Elementlösungen eine Annäherung an eine kontinuierliche Funktion darstellen, sind die Ergebnisse für diese Positionen möglicherweise zu grob, um präzise abzubilden, wie sich ein Modell unter Spannung verhält.
Durch die Berechnung der Spannung an einzelnen Knoten wird dieses Problem behoben. Mithilfe der Methode der 'lokalen kleinsten Quadrate' werden die Spannungen anhand von Gaußschen Punkten zu den verknüpften Knoten extrapoliert. Eine genaue Bewertung der Spannungen an Knoten sind besonders wichtig, wenn sich die Knoten auf der Oberfläche oder Kante des analysierten Bauteils befinden, da diese Knoten im Allgemeinen mit kritischen Bereichen des Modells zusammenfallen. Genauigkeitsinformationen sind außerdem verfügbar, wenn Knoten von verschiedenen Elementen gemeinsam genutzt werden.
Beim Anzeigen der Oberfläche eines Modells werden die Intensität oder Spannung an jedem Punkt der einzelnen Elemente des Netzes, durch das die Oberfläche definiert ist, berechnet und dem Punkt ein entsprechender Anzeigewert zugeordnet. Anschließend werden die für die Anzeige der Oberfläche verwendete Skalierung überprüft und die entsprechenden Farben und Schattierungen für jeden Punkt basieren auf dem an diesem Punkt berechneten ausgewählt. Das Modell wird dann erneut gezeichnet, wobei die Oberfläche entsprechend dem verwendeten Anzeigeverfahren schattiert wird. Die Ergebnisanzeige enthält Visualisierungsoptionen, z. B. Glätten, mit denen Sie die Darstellung des Modells steuern können. Auf diese Weise können Sie das Modell in der für Sie geeigneten Weise visualisieren.
Dieser Befehl legt fest, dass die Ergebnisanzeige die äquivalente von Mises-Spannung für eine Anzeige oder Datenausgabe enthält. Die von Mises-Spannung kann für Elementtypen mit einer Fläche (2D, Platten, usw.) und einem Volumen (Quader) angezeigt werden.
Verwendete Gleichung:
Dabei stehen Sx, Sy und Sz für die Axialspannungen in den globalen Richtungen und Sxy, Syz und Sxz für die Scherspannungen. In Bezug auf die Hauptspannung S1, S2 und S3 gilt:
Beachten Sie, dass der von Mises-Wert in den Gleichungen immer positiv ist.
Die Tresca*2-Spannung kann für Elementtypen mit einer Fläche (2D, Platten usw.) und einem Volumen (Quader ) angezeigt werden. Diese Methode extrahiert die maximale Scherspannung aus dem folgenden Spannungstensor. Die Tresca-Gleichung lautet:
Dabei stehen S1, S2 und S3 für die Hauptspannungen. Der zurückgegebene Wert beträgt das Doppelte der maximalen Scherspannung. Damit tritt eine Streckung auf, wenn der zurückgegebene Tresca*2-Wert die Streckgrenze erreicht. Die Tresca-Spannung ist per Definition immer positiv. Eine Darstellung hiervon finden Sie unter Mohrs Kreis. Tresca*2 wird auch als Spannungsintensität bezeichnet.
Dieser Befehl legt fest, dass in der Ergebnisanzeige die minimale Hauptspannung (S3) für die Anzeige und Datenausgabe berechnet wird. Die Hauptspannung kann für Elementtypen mit einer Fläche (2D, Platten usw.) und einem Volumen (Quader ) angezeigt werden. Ein positives Vorzeichen (+) kennzeichnet Zug und ein negatives (-) Druck. Eine Darstellung hiervon finden Sie unter Mohrs Kreis.
Durch diesen Befehl wird ein Vektorplot für die Richtung der minimalen Hauptspannung in jedem Element angezeigt. Die Tensoren an jedem Knoten des Elements werden gemittelt, und die Richtung der minimalen Hauptspannung dieses gemittelten Tensors wird am Zentroid des Elements ausgegeben. Wenn Sie ein Element markieren und Ergebnisse abfragen
Abfragen
Aktuelle Ergebnisse auswählen, werden die Komponenten dieses Vektors angezeigt.
Dieser Befehl legt fest, dass in der Ergebnisanzeige die mittlere Hauptspannung (S2) für die Anzeige und Datenausgabe berechnet wird. Diese Spannung wirkt lotrecht zur minimalen und maximalen Hauptspannung. Die Hauptspannung kann für Elementtypen mit einer Fläche (2D, Platten usw.) und einem Volumen (Quader ) angezeigt werden. Ein positives Vorzeichen (+) kennzeichnet Zug und ein negatives (-) Druck.
Durch diesen Befehl wird ein Vektorplot für die Richtung der mittleren Hauptspannung in jedem Element angezeigt. Die Tensoren an jedem Knoten des Elements werden gemittelt, und die Richtung der mittleren Hauptspannung dieses gemittelten Tensors wird am Zentroid des Elements ausgegeben. Wenn Sie ein Element markieren und Ergebnisse abfragen
Abfragen
Aktuelle Ergebnisse auswählen, werden die Komponenten dieses Vektors angezeigt.
Dieser Befehl legt fest, dass in der Ergebnisanzeige die maximale Hauptspannung (S1) für die Anzeige und Datenausgabe berechnet wird. Die Hauptspannung kann für Elementtypen mit einer Fläche (2D, Platten usw.) und einem Volumen (Quader ) angezeigt werden. Ein positives Vorzeichen (+) kennzeichnet Zug und ein negatives (-) Druck. Eine Darstellung hiervon finden Sie unter Mohrs Kreis.
Durch diesen Befehl wird ein Vektorplot für die Richtung der maximalen Hauptspannung in jedem Element angezeigt. Die Tensoren an jedem Knoten des Elements werden gemittelt, und die Richtung der maximalen Haptspannung dieses gemittelten Tensors wird am Zentroid des Elements ausgegeben. Wenn Sie ein Element markieren und Ergebnisse abfragen
Abfragen
Aktuelle Ergebnisse auswählen, werden die Komponenten dieses Vektors angezeigt.
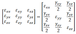
Dieser Befehl zeigt die Komponente der Spannung in der ausgewählten Richtung an. Technisch betrachtet wird das Doppelpunktprodukt mit dem Spannungstensor oder den lokalen Spannungskomponenten verwendet. Der Spannungstensor kann für Elementtypen mit einer Fläche (2D, Platten usw.) und einem Volumen (Quader ) angezeigt werden.
Wenn Ergebniskonturen
Einstellungen
Lokale Elementergebnisse verwenden nicht aktiviert ist, können Sie zwischen den folgenden globalen Spannungen auswählen. Wenn diese Option aktiviert ist, werden bei den folgenden Auswahlen die in den einzelnen Beschreibungen angegebenen lokalen Spannungstensoren angezeigt.
Bei Elemente mit lokalen Achsen ist eine Glättung (Durchschnitt) der Spannungen möglicherweise nicht sinnvoll, insbesondere wenn die Ausrichtung der lokalen Achsen zwischen den angrenzenden Elementen variiert. Die geglätteten Spannungstensorwerte sind nur dann sinnvoll, wenn die lokalen Achsen von einem Element zum nächsten in gleichbleibender Richtung verlaufen.
Einstellungen
Lokale Elementergebnisse verwenden aktiviert ist, wird der lokale Spannungstensor 1-1 angezeigt.
Einstellungen
Lokale Elementergebnisse verwenden aktiviert ist, wird der lokale Spannungstensor 2-2 angezeigt.
Einstellungen
Lokale Elementergebnisse verwenden aktiviert ist, wird der lokale Spannungstensor 3-3 angezeigt.
Einstellungen
Lokale Elementergebnisse verwenden aktiviert ist, wird der lokale Spannungstensor 1-2 angezeigt.
Einstellungen
Lokale Elementergebnisse verwenden aktiviert ist, wird der lokale Spannungstensor 2-3 angezeigt.
Einstellungen
Lokale Elementergebnisse verwenden aktiviert ist, wird der lokale Spannungstensor 3-1 angezeigt. Durch diesen Befehl werden die Spannungen für lineare und nichtlineare Stabelemente, lineare und nichtlineare Balkenelemente und nichtlinearen Rohrelemente angezeigt. Folgende Ergebnisse sind verfügbar:
Abfragen
Detaillierte Balkenspannung und Ergebnisse abfragen
Abfragen
Detaillierte Balkendehnung. Höchste = (Vorzeichen von P/A)(ABS(P/A)+ABS(M2/S2)+ABS(M3/S3))
Eine Spannungsanalyse (sowohl lineare als auch nichtlineare) geht von einem symmetrischen Querschnitt aus (aufgrund von nur einer Eingabe oder nur einem berechneten Wert für S2 und S3). Die höchste Spannung könnte daher mathematisch betrachtet an einer nicht vorhandenen Position in einem nicht symmetrische Balken auftreten, z. B. an der unteren linken oder oberen linken Ecke von Abbildung 1.

Abbildung 1: Spannungsergebnisse in einem nicht symmetrischen Balken
Aufgrund der Annahme, dass C2 und C3 gleich sind (auf nur einer Eingabe für S3 und S2 basieren), kann die höchste Spannung an einer nicht vorhandenen Position ausgegeben werden.
Verwenden Sie die Optionen Ergebnisoptionen
Ansicht
Elementausrichtung, um die lokalen Achsen 1, 2 oder 3 für die Balkenelemente anzuzeigen.
Durch diesen Befehl werden die Ergebnisse für die Fehlerkriterien des zusammengesetzten Elements in der Ebene angezeigt, die im Dialogfeld Elementdefinition festgelegt sind (Tsai-Wu, maximale Spannung oder maximale Dehnung).
Es wird empfohlen, die Glättung (Ergebniskonturen
Einstellungen
Ergebnisse glätten) zu deaktivieren, um den tatsächlichen Fehlerkriterienwert in jedem Element anzuzeigen (anstelle des geglätteten oder gemittelten Werts zwischen angrenzenden Elementen).
Sie können die Schicht, für die Ergebnisse angezeigt werden, unter Ergebniskonturen
Spannung
Zusammengesetzte Elemente
Optionen steuern. Darüber hinaus können Sie mit diesem Befehl die Ergebnisse für Schlechteste anzeigen.
Berücksichtigen Sie bei den Kriterien für die maximale Spannung und maximale Dehnung zunächst die folgenden Sicherheitsfaktoren, die auf der oberen und unteren Fläche der Schicht basieren:
Maximale Spannung - Sicherheitsfaktoren:
,
,
,
und
Dabei stehen σ für die berechnete Normalspannung in Richtung 1 oder 2, X und Y für die zulässigen Spannungen in Richtung 1 und 2 (Druck oder Zug für die berechnete Spannung), τ12 für die berechnete Scherspannung und S für die zulässige Scherspannung.
Maximale Dehnung - Sicherheitsfaktoren:
,
,
,
und
Dabei stehen ε für die berechnete Normaldehnung in Richtung 1 oder 2, T für die zulässige Dehnung in Richtung 1 und 2 (Zug oder Druck für die berechnete Dehnung), γ12 für die berechnete Scherdehnung und S für die zulässige Scherdehnung.
Die Ergebnisse werden anschließend wie folgt angezeigt:
| Fehlerindex für maximale Spannung und maximale Dehnung | |
|---|---|
| Lineare Spannung | Nichtlineare Spannung |
| Berechnen der Werte für 1/Sicherheitsfaktor | Berechnen der Werte für Sicherheitsfaktor |
| Plotten des höchsten Werts | Plotten des niedrigsten Werts |
| Werte >1 kennzeichnen einen Fehler. | Werte <1 kennzeichnen einen Fehler. |
Ziehen Sie für das Fehlerkriterium Tsai-Wu zunächst den Wert F heran:
Dabei gilt:
σ und τ sind die berechnete Normal- und Scherspannung, und alle anderen Werte sind Materialeingaben.
Die Ergebnisse werden anschließend wie folgt angezeigt:
| Fehlerindex für Tsai-Wu | |
|---|---|
| Lineare Spannung | Nichtlineare Spannung |
| Plotten des Werts F | Plotten des Werts 1/F |
| Werte >1 kennzeichnen einen Fehler. | Werte <1 kennzeichnen einen Fehler. |
Wenn Sie dicke Verbundelemente mit dem Fehlerkriterium für die maximale Spannung verwenden, ist diese Option verfügbar, mit der Sie die Fehlerkriterienergebnisse durch die Dicke (Richtung aus der Ebene heraus) der Kernschicht anzeigen können. Die ausgegebenen Ergebnisse sind jeweils der höchste Wert für:
,
und
.
Dabei stehen σKern für die berechnete Normalspannung im Kern (in Richtung 3), Zc für die zulässige Kernzerkleinerungsspannung, τ für die berechnete Scherspannung und S für die zulässige transversale Scherspannung.
Ein Wert größer als 1 kennzeichnet einen Fehler.
Die meisten der zuvor beschriebenen Formeln für die Spannungsergebnisse können verwendet werden, um die Dehnungsergebnisse in einem Modell anzuzeigen. Ersetzen Sie den Begriff Spannung in den Beschreibungen und Formeln einfach durch Dehnung. In diesen Situationen enthält die die Beschreibung weiter unter einen Link zu der entsprechenden Seite. Befehle für Dehnungsergebnisse, die deutliche Unterschiede zu den entsprechenden Befehlen für die äquivalente Spannung aufweisen, werden im Folgenden beschrieben.


Höchste = (Vorzeichen von P/A)(ABS(P/A)+ABS(Dehnung um Achse 2)+ABS(Dehnung um Achse 3))
Für Stabelemente entspricht die höchste Dehnung der axialen Dehnung (P/A).
Dehnungsenergiedichte
Bei Auswahl dieses Befehls wird das Modell entsprechend der Dehnungsenergiedichte schattiert. Die Dehnungsenergie eines Elements ist als die Energie definiert, die das Element aufgrund der Last aufnimmt. Dies kann abhängig vom Volumen wie folgt berechnet werden:
.
Der einzige Zweck dieser Ergebnisse ist es, die relative Spannungs- und Dehnungsverteilung im Modell darzustellen. Das heißt, Sie können die Bereiche der maximalen oder minimalen Spannung und Dehnung ermitteln, jedoch die Ergebnisse allein mit der Modalanalyse nicht quantifizieren. Da die Ergebnisse auf keine bestimmte Erregung skaliert sind, sind die absoluten Spannungs- und Dehnungswerte nicht von Bedeutung.
Gegebenenfalls können Autodesk Simulation Mechanical-Modelle in Autodesk Moldflow Adviser oder Insight zur Simulation des Spritzgussprozesses exportiert werden. Wenn eine Moldflow-Simulation abgeschlossen ist, sind zusätzliche Ergebnisse zur Visualisierung in der Ergebnisanzeige von Autodesk Simulation Mechanical verfügbar. Wählen Sie diese Ergebnisse in der Gruppe Moldflow-Ergebnis auf der Registerkarte Ergebniskonturen der Multifunktionsleiste aus.
Unter den linearen Analysetypen sind die Moldflow-Ergebnisse nur für Statische Spannung mit linearen Materialmodellen verfügbar. Moldflow-Ergebnisse sind auch für alle nichtlinearen Strukturanalysen verfügbar, mit Ausnahme derEigenfrequenz (Modal) mit nichtlinearen Materialien. Die folgenden Ergebnisse stehen zur Verfügung:
Die Ergebnisse unter Elementkräften und Momenten beziehen sich primär auf Linienelemente: Stäbe, Abstände, Balken, Begrenzungselemente usw.
Die Ergebnisse unter Elementkräften und Momenten beziehen sich primär auf Linienelemente: Stäbe, Abstände, Balken, Begrenzungselemente usw.
für alle Spannungsanalysen für Platten verwendet. Der Biegemomenttensor ist ein verteiltes Moment (Linienmoment, Moment pro Längeneinheit). Die Ergebnisse, die sich am einfachsten interpretieren lassen, werden durch die Option Ergebniskonturen
Spannung
Tensor ausgegeben. Die mathematische Berechnungen für von Mises-Spannung, Tresca-Spannung sowie minimale und maximale Hauptspannung werden durchgeführt, liefern jedoch ähnliche Ergebnisse wie die Biegespannungswerte multipliziert mit
.
Richtung der lokalen Kräfte und Momente für Balkenelemente:
| Komponente | Unterzug |
|---|---|
| Lokale Kraft 1 | Ein positiver Wert (+) kennzeichnet einen Zug, ein negativer Wert (-) einen Druck. |
| Lokale Kraft 2 |
|
| Lokale Kraft 3 |
|
| Lokales Moment 1 |
|
| Lokales Moment 2 |
|
| Lokales Moment 3 |
|

Abbildung 2: Richtung der lokalen Kräfte und Momente für Balkenelemente
Wenn die Analyse der zufälligen Schwingungen ausgeführt wird und die Option für die Ausgabe der Dichte des Leistungsspektrums aktiviert ist, enthalten die ERGEBNISSE das Element Dichte des Leistungsspektrums. (Weitere Informationen über diese Option finden Sie auf der Seite Zufällige Schwingung.) Die Potenz-Spektraldichte kann wie folgt dargestellt werden:
Diagramme
Potenz-Spektraldichte aus, um eines der folgenden Ergebnisse anzuzeigen: Beachten Sie, dass die Ergebnisse relativ zu den Trägern sind. Sie beziehen sich auf eine Potenz-Spektraldichte in Bezug auf die verweisen auf Strom Spektrum Dichte in Bezug auf die Eingangserregung.
Wenn Sie mehrere Knoten ausgegeben wurden, muss die Potenz-Spektraldichte für jeden Knoten nacheinander aktiviert werden. Klicken Sie mit der rechten Maustaste auf den relevanten Knoten im Browser, und wählen Sie Aktivieren aus, bevor Sie das Ergebnis für die Potenz-Spektraldichte anzeigen. (Allgemeine Anweisungen finden Sie auf der Seite Graphergebnisse von Analysen.)
Durch diesen Befehl werden die internen Kräfte und Reaktionskräfte angezeigt. Folgende Ergebnistypen werden angezeigt:
Bei MES/nichtlinearen Elementen werden in diesem Menü die Reaktionskräfte an jedem Knoten angezeigt. Die Ergebnisse sind an Randbedingungen, Zwangsverschiebungen, Aufprallwänden und Flächenkontakten ungleich Null.
Bei MES/nichtlinearen Elementen werden in diesem Menü die Reaktionsmomente an jedem Knoten angezeigt. Die Ergebnisse sind an Randbedingungen und Zwangsrotationen ungleich Null.
Für jeden Ergebnistyp stehen die folgenden Optionen zur Verfügung:
Die Genauigkeit dient zur Hervorhebung von Änderungsstufen in den Ergebnissen zwischen zwei Elementen. In einem idealen Modell ändert sich die Spannung gleichmäßig zwischen zwei angrenzenden Elementen. Bei der Erstellung einer diskreten Auflösung des Modells mit Elementen treten immer gewisse Änderungen in den Ergebnisse von einem Element zum nächsten auf. Die Ergebnisse sind nicht fortlaufend.
Beispiel: In einem Spannungsmodell ermitteln Elemente mit gemeinsam verwendeten Knoten die Spannungen an dem jeweiligen Knoten unabhängig voneinander. Die unabhängigen Spannungsanalysen bieten daher eine Genauigkeitsschätzung für das Modell basierend auf der von Mises-Spannung. Der Genauigkeitswert an einem bestimmten Knoten wird wie folgt berechnet:
Die Genauigkeit variiert per Definition zwischen 0 (beste) und 0,5 (schlechteste). Knoten, die nicht von zwei oder mehr Elementen gemeinsam genutzten werden, weisen nur eine Spannungsschätzung und einen Genauigkeitsindex von 0 auf.
Beispiel 1:
Wenn die maximale von Mises-Spannung im Modell 200 beträgt, lautet die Genauigkeit an die folgenden Knoten wie folgt (bei bis zu drei mit dem Knoten verbundenen Elementen):
| Knotennummer | von Mises-Spannung | Genauigkeitswert | Kommentar | ||
|---|---|---|---|---|---|
| Wert 1 | Wert 2 | Wert 3 | |||
| 17 | 20 | -- | -- | 0,0 | Einzelner Elementknoten |
| 23 | 20 | 40 | 25 | 0,05 | 0,5(40-20)/200 |
| 36 | 150 | 120 | 200 | 0,20 | 0,5(200-120)/200 |
Beispiel 2:
Die folgende Abbildung zeigt vier Elemente um Knoten Nr. 5 und die folgenden Spannungen:

| Elementnummer | Knotennummer | von Mises-Spannung |
|---|---|---|
| 1 | 5 | 20.000 |
| 2 | 5 | 15.000 |
| 3 | 5 | 19.000 |
| 4 | 5 | 10.000 |
Wenn die maximale Spannung im Modell 25.000 beträgt (z. B. an Knoten 9), lautet die Genauigkeit an Knoten 5
Genauigkeit Knoten 5 = 0,5 (20.000 - 10.000)/25.000 = 0,2
Es kann nicht garantiert werden, dass die tatsächlichen Spannungen innerhalb des angegebenen Bereichs liegen. Der Bereich, in dem diese liegen, hängt von der Vernetzung des Modells und der Modellierung des tatsächlichen Bauteils sowie von weiteren Faktoren ab. Abweichungen unterhalb der angegebenen Genauigkeit können als unbedeutend betrachtet werden. Wenn beispielsweise als Genauigkeit 0,1 definiert ist und die maximale Spannung 200 beträgt, sind Abweichungen von weniger als 20 Spannungseinheiten irrelevant.
Durch Auswahl dieser Option wird das Modell mit den Eingangslasten angezeigt. Verfügbare Lasten für eine Strukturanalyse sind die Temperatur und die Spannung.
Sonstige Ergebnisse
Angewendete Lasten
Temperatur ist immer verfügbar.
Sonstige Ergebnisse
Angewendete Lasten
Temperatur ist nur verfügbar, wenn dem Modell in den Analysenparametern eine Quelle für die Knotentemperatur zugewiesen wurde. Diese Befehle schattieren das Modell auf Grundlage der Form der Elemente. Die meisten Befehle gelten nur für Flächen- und Volumenelemente, darunter 2D-, Platten-, Quaderelemente usw.
Durch die folgenden Optionen wird das Modell basierend auf dem ausgewählten Element schattiert.
Analyse
Gewicht und Schwerkraft auf das Modell angewendet wird und Sie den Befehl Ergebniskonturen
Sonstige Ergebnisse
Elementeigenschaften
Volumen auswählen, wird das Volumen jedes Elements angezeigt. Der Gewichts- und Schwerkraftrechner wird automatisch ausgeführt, wen im Dialogfeld Abfragen: Ergebnisse eine gewichtete Ergebnisübersicht berechnet wird. Bei dreieckigen Elemente entspricht das Seitenverhältnis der längsten Seite dividiert durch die Höhe des Dreiecks über dieser längsten Seite. Dieses Verhältnis wird mit der Quadratwurzel von (3/4) multipliziert, sodass ein gleichseitiges Dreieck ein Seitenverhältnis von 1,0 aufweist.
Bei vierseitigen Elementen (Platten und 2D) wird das Seitenverhältnis wie folgt berechnet: Die Länge der längsten Seite wird durch den größten Abstand von der längsten Seite zu einem anderen Knoten des vierseitigen Elements dividiert. Ein Quadrat hat ein Seitenverhältnis von 1,0. Ein Rechteck mit Seiten von 1 und 2 hat ein Seitenverhältnis von 2,0.
Bei Quaderelementen (8 Knoten) werden die Mittelpunkte der drei Paar gegenüber liegender Flächen so verbunden, dass sich drei Linien ergeben. Diese Linien kreuzen den Mittelpunkt des Quaders, und jedes Linienpaar definiert eine Ebene. Für jede aus zwei Linien gebildete Ebene wird das Verhältnis zwischen dem Abstand von der Ebene zu den Endpunkten der dritten Linie dividiert durch die Hälfte der Länge der längsten Linie in der Ebene berechnet. Das Seitenverhältnis für den Quader ist das größte dieser drei Verhältnisse. Bei rechteckigen Volumenkörper ist das Seitenverhältnis das größte Seitenverhältnis einer der Flächen.
Bei Keilelementen (Quader mit 6 Knoten) wird ein mittleres Dreieck anhand der Mittelpunkte der Kantenlinien gebildet, die die dreieckigen Flächen des Keils verbinden. Angenommen b ist die längste Seite des mittleren Dreiecks, h die Höhe des mittleren Dreiecks und hw die Länge der Linie zwischen den Mittelpunkten der Enddreiecke. Das Seitenverhältnis ist der maximale Wert aus sqrt(3)*h/(2*b), hw/b und b/hw. Ein Keil, der durch Extrusion eines gleichseitigen Dreiecks um einen der Seite entsprechenden Abstand erzeugt wurde, hat ein Seitenverhältnis von 1,0.
Bei Pyramidenelementen (Quader mit 5 Knoten) ist h die Höhe des Punkts über der Mittelebene des Vierecks. Angenommen b ist die längste Mittelkantenlinie des Vierecks, dann ist das Seitenverhältnis der Maximalwert des Seitenverhältnisses des Vierecks, h/b und b/h. Eine Pyramide mit einer quadratischen Basis und einer Höhe gleich der Basisseite hat ein Seitenverhältnis von 1,0.
Bei Tetraederelementen (Quader mit 4 Koten) wird die Höhe hi über dem Basisdreieck mit der Fläche ai für jede der vier möglichen Basiswerte berechnet. Das Seitenverhältnis ist der Maximalwert von Cf * hi/sqrt(ai), sqrt(ai)/(Cf * hi) für alle vier Basisdreiecke. Cf ist (3/4)^3/4, sodass das Seitenverhältnis eines Tetraeders mit gleichen Seiten 1,0 ist.