Параметры сейсмического расчета конструкции зависят от выбора сейсмических норм, по которым производится расчет влияния сейсмических нагрузок на конструкцию.
Выберите американские нормы IBC (Международные строительные нормы) 2009 или 2012 в диалоговом окне Описание нового нагружения или нажмите кнопку Параметры в диалоговом окне Тип расчета.

Чтобы выполнить сейсмический расчет в соответствии с правилами норм, определите следующие параметры:
Коэффициенты типа местности Fф и Fv интерполируются на основании параметров S1 и SS.
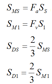
Проектные параметры спектрального ускорения рассчитываются по следующим формулам:

При нажатии на кнопку Определение эксцентриситета откроется диалоговое окно, где можно задать, как учитывать эксцентриситет масс при сейсмическом расчете.
Выберите Базовый сдвиг чтобы открыть диалоговое окно Базовый сдвиг. В этом окне можно выбрать, каким образом должна учитываться основная поперечная сила: расчет в соответствии с требованиями сейсмических норм ASCE 7-05 Section 12.8 или определение вручную.
В нижней части диалогового окна находятся две кнопки: Определение направления и Фильтры.
Подробнее о данном методе расчета конструкции можно узнать в указанных нормах.