Los parámetros de un análisis sísmico de la estructura dependen de la norma sísmica utilizada durante los cálculos de una estructura influida por el impacto sísmico.
Seleccione la norma sísmica estadounidense IBC 2009 (Norma internacional de construcción 2009), IBC 2012 (Norma internacional de construcción 2012) o ASCE 7 (Cargas mínimas de diseño y criterios relacionados para edificios y otras estructuras) en el cuadro de diálogo Definición de un nuevo caso o haga clic en Parámetros en el cuadro de diálogo Tipos de análisis.

Para completar el análisis sísmico según las reglas especificadas en esta norma, defina los siguientes parámetros.
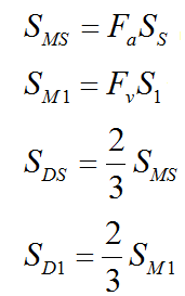
Los coeficientes de sitio Fa y Fv se interpolan en función de los parámetros S1 y SS.
Los parámetros de aceleración espectral del diseño se calculan a partir de las siguientes ecuaciones:

Haga clic en Definición de excentricidad para abrir el cuadro de diálogo Definición de excentricidades de masas, donde se puede especificar cómo se tiene en cuenta la excentricidad de una masa en el análisis sísmico.
Haga clic en Cortante básico para abrir el cuadro de diálogo Cortante básico. Aquí se puede seleccionar cómo se tiene en cuenta el esfuerzo cortante básico: calculándolo según las disposiciones recogidas en la sección 12.8 de la norma sísmica ASCE 7-05 o especificándolo.
En la parte inferior del cuadro de diálogo, se encuentran los botones Definición de la dirección y Filtros.
Los detalles relativos a este método de análisis de la estructura se pueden encontrar en la norma mencionada.