Preform porosity and permeability model
Both the porosity and the permeability of the fiber-mat affect the filling pattern in a Reactive Molding analysis.
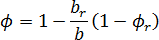
The porosity of the preform is described by the following equation:
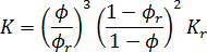
where:
is the porosity
is the thickness of the fiber-mat- the values with the subscript
are those at the specified reference thickness
The permeability of the preform is described by the following equation:
where
is the permeability.
