Description
The ELSTRESS Case Control command requests element stress output.
Format
ELSTRESS
Example
ELSTRESS
Remarks
- ELSTRESS is an alternate form and is identical to STRESS.
-
Stresses are written at a single point for each element for solid elements. The top and bottom stress values are written for shell elements. Strains are written for a single point for each ply for composite shell elements.
-
This command will output all stress tensor components, the von Mises stress, and pressure for all elements.
- The invariant quantities, von Mises stress and pressure, are defined as follows:
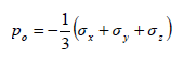
For solid elements, the mean pressure is defined as:

For solid elements the von Mises equivalent stress is defined as:

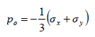
Shell elements are defined by a state of plane stress. The mean pressure is:

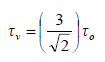
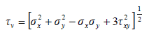
The von Mises stress for shell elements is:

