Vier Parameter definieren die Ereignisdauer und Zeitschrittgröße bei der Analyse der transienten Wärmeübertragung. Diese werden im Abschnitt Ereignis des Dialogfeldes Analysenparameter festgelegt. Die Analyse kann in mehrere Zeitintervalle unterteilt werden, und jedes Intervall kann eine andere Zeitschrittgröße aufweisen. Wenn beispielsweise ein Stück heißer Stahl in ein Flüssigkeitsbad getaucht wird, hat dies eine rasche Abkühlung zu Beginn der Analyse zur Folge. Verwenden Sie kleine Zeitschritte für dieses Intervall. Mit zunehmender Stabilisierung des Bauteils können größere Zeitschritte verwendet werden, um die Berechnung zu beschleunigen.
In einer transienten Wärmeübertragungsanalyse folgen alle Lasten den Lastkurven. Klicken Sie im Dialogfeld Analyseparameter auf die Schaltfläche Lastkurven, um die Lastkurven zu definieren. Anhand der folgenden Tabelle können Sie bestimmen, wie sich der Wert in der Spalte Faktor der Lastkurve auf die einzelnen thermischen Lastparameter auswirkt.
| Parameter | Auswirkungen des Faktors auf Parameter |
|---|---|
| Größe der angelegten Temperatur | Weitere Informationen finden Sie auf der Seite Angelegte Temperatur. |
| Konvektionskoeffizient | Multiplikation |
| Konvektionsumgebungstemperatur | Weitere Informationen finden Sie auf der Seite Konvektion. |
| Strahlungsfunktion | Multiplikation |
| Strahlungsumgebungstemperatur | Weitere Informationen finden Sie auf der SeiteStrahlung. |
| Flächenwärmestrom | Multiplikation |
| Interne Wärmeerzeugung | Multiplikation |
| Knotenwärmequelle | Multiplikation |
| Strahlungsumgebungstemperatur zwischen Körpern | Multiplikation |
Es gibt zwei Methoden zum Erstellen von Lastkurven. Wenn Sie im Bereich Lastkurvenform das Optionsfeld Stückweise linear auswählen, können Sie verschiedene Zeiten und die entsprechenden Faktoren festlegen, um die Lastkurve zu definieren. Die Faktorwerte werden zwischen den definierten Zeiten linear interpoliert. Wenn Sie im Bereich Lastkurvenform das Optionsfeld Sinusförmig auswählen, können Sie die Parameter der sinusförmigen Kurve in den Feldern weiter unten definieren.
Es gibt vier Multiplikatoren zum Steuern der Größe der verschiedenen thermischen Lasten, wenn sie auf das Modell angewendet werden. Diese befinden sich in dem Dialogfeld Analyseparameter auf der Registerkarte Multiplikatoren.
Ein Wert von Null in einem dieser Felder mit Ausnahme des Feldes Randbedingungstemperatur-Multiplikator deaktiviert die Lasten dieses Typs im Modell. Ein Wert von Null im Feld Randbedingungstemperatur-Multiplikator ändert die Größen der angewendeten Temperaturen auf 0 Grad.
Der Wert im Feld Standardknotentemperatur auf der Registerkarte Optionen des Felds Analyseparameter wird verwendet, um die Ausgangstemperatur eines Knotens festzulegen, der nicht über eine festgelegte Ausgangstemperatur verfügt. (Wenn die transiente Analyse nicht bei einer Temperatur von Null beginnt, muss die zu Beginn der Analyse herrschende Temperatur angegeben werden.)
Die Ergebnisse einer vorherigen thermischen Analyse können als Ausgangstemperaturprofil für eine transiente Wärmeübertragungsanalyse verwendet werden. Die kann mithilfe von zwei Methoden erfolgen.
Wählen Sie im Dropdown-Feld Quelle der Anfangsknotentemperatur auf der Registerkarte Optionen einen geeigneten Analysetyp aus. Wählen Sie das Modell im Feld Vorhandenes Modell aus. Wenn Sie eine andere transiente Wärmeübertragungsanalyse nutzen und einen mittleren Zeitschritt verwenden möchten, wählen Sie die Option Festgelegt im Dropdown-Feld Zeitschritt aus der Wärmeübertragungsanalyse aus, und geben Sie den Zeitschritt im Feld Zeitschritt an. Mithilfe dieser Funktion kann wie folgt eine Neustartanalyse ausgeführt werden. (Informationen zu weiteren Neustartfunktionen finden Sie weiter unten unter Neustart einer Analyse.)
In einigen Fällen kann es sinnvoll sein, eine transiente Analyse in separate Analysen zu unterteilen, anstatt die gesamte Lastkurve in einer Analyse zu beschreiben. Beispielsweise können verschiedene Abkühlungszenarios untersucht werden, nachdem das Teil erwärmt wurde. Auf diese Weise können eine Datei zum Analysieren der transienten Erwärmung des Teils und anschließend mehrere Dateien zum Analysieren der verschiedenen Abkülungsszenarios verwendet werden. Hierzu wird als Ausgangstemperatur für das zweite Modell (die Neustartanalyse) als Endtemperatur des ersten Modells ausgewählt. Dies wird auf der Registerkarte Optionen des Dialogfelds Analyseparameter festgelegt.
Sie können das gleiche Verfahren für eine mehrstufige transiente Analyse, bei der die Parameter von einer Analyse zur nächsten geändert werden, mehrfach verwenden. In diesem Fall sähe das Verfahren wie folgt aus:
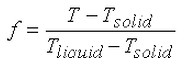
Wenn eines der Bauteile ein Materialmodell mit Phasenwechsel aufweist, wird die Berechnung des flüssigen Anteils im Pulldown-Menü Beziehung flüssiger Anteil auf der Registerkarte Optionen des Dialogfelds Analyseparameter ausgewählt. Die verfügbaren Optionen lauten wie folgt:


Da hier der Equilibirumskoeffizient und die Schmelztemperatur beteiligt sind, wird diese Methode in der Regel nur für Legierungen verwendet.
Dabei gilt:
Wenn der Knoten kälter ist als die Solidustemperatur, beträgt der Anteil 0. Wenn der Knoten wärmer ist als die Solidustemperatur, beträgt der Anteil 1.
Wenn Sie zuvor eine Analyse von elektrostatischem Strom und Spannung bei einem Modell mit identischer Geometrie und Netz auf dem Modell, das Sie gerade analysieren, vorgenommen haben, können Sie die elektrostatischen Ergebnisse zu diesem Modell zum Bestimmen der Temperaturauswirkungen des Stroms anwenden. Es gibt einige Richtlinien, die in diesem Vorgang beachtet werden müssen.
Der Solvertyp für eine thermische Analyse kann in dem Dialogfeld Analyseparameter auf der Registerkarte Lösung über die Dropdown-Liste Solvertyp ausgewählt werden. Hintergrundinformationen finden Sie auch unter Verfügbare Solvertypen. Die verfügbaren Optionen lauten wie folgt:
Wenn Sie die Lösungsmatrix erstellen, jedoch nicht die Analyse durchführen möchten, aktivieren Sie das Kontrollkästchen Stopp nach Steifheitsanalysen. Dies ist nur dann hilfreich, wenn Sie auf die Gleichungsdatenmatrix zugreifen möchten. Die Steifheitsmatrix wird immer berechnet, wenn Sie eine Analyse ausführen, also gibt es keinen Vorteil, diese Option unter normalen Bedingungen zu verwenden.
Für die Solver Sparse und Iterativ steuern die Felder Prozentsatz der Speicherzuweisung, wie viel des verfügbaren RAM verwendet wird, um die Elementdaten zu lesen und die Matrizen herzustellen. Ein kleiner Wert wird empfohlen. (Wenn der Wert kleiner oder gleich 100 % ist, wird der verfügbare physikalische Arbeitsspeicher verwendet. Wenn der Wert dieser Eingabe größer ist als 100 %, verwendet die Speicherzuweisung den verfügbaren physischen und virtuellen Speicher).
Wie bereits erwähnt, nutzen einige Solver die auf dem Computer verfügbaren Gewinde/Kerne. Das Dropdown-Feld Anzahl der Threads/Kerne ist in solchen Fällen aktiviert. Für die schnellste Lösung möchten Sie womöglich alle verfügbaren Threads/Kerne verwenden, doch sollten Sie sich für weniger Threads/Kerne entscheiden, wenn Sie noch Rechenleistung für die Ausführung anderer Anwendungen während der Analyse benötigen.
Wenn der iterative Solver ausgewählt wurde, dann ist der Abschnitt Iterativer Solver aktiviert. Die Eingaben in diesem Abschnitt sind wie folgt:
Wenn der iterative (PBiCGStab)-Solver ausgewählt wird, dann ist die folgende Eingabe aktiviert:
Standardmäßig werden Modelle mit Strahlung von Körper zu Körper analysiert, indem die Berechnung von Temperatur und Strahlungsfluss kombiniert werden. Bei großen Modellen kann dies eine lange Analysedauer nach sich ziehen. Diese beiden Gleichungen können daher separat berechnet werden, indem Sie im Dropdown-Menü Lösungsalgorithmus die Option Entkoppelt auswählen. Bei Auswahl dieser Option können die Solver für jeden Wert in den Dropdown-Menüs Solver für Temperatur und Solver für Strahlungsfluss separat ausgewählt. Durch die Option Automatisch wird basierend auf der Modellgröße zwischen den beiden verfügbaren Solvern ausgewählt.
Wenn der Solver "Sparse" ausgewählt ist, dann ist der Abschnitt Solver "Sparse" aktiviert. Die Eingabe für diesen Abschnitt ist wie folgt:
Nachdem die Analyse abgeschlossen ist, können die Ergebnisse der Analyse in einer Textdatei ausgegeben werden. Die Registerkarte Ausgabe des Dialogfelds Analyseparameter kann verwendet werden, um zu steuern, welche Daten in die Datei ausgegeben werden.
Wenn zuvor bereits eine transiente Wärmeübertragungsanalyse für dieses Modell ausgeführt wurde, können Sie die Analyse neu starten. Dies ist möglich, wenn die Analyse abgeschlossen wurde oder wenn die Analyse vor Abschluss angehalten wurde. Zunächst müssen Sie das Kontrollkästchen Neustartanalyse durchzuführen auf der Registerkarte Neustart des Dialogfelds Analyseparameter aktivieren. Um die Analyse vom letzten verfügbaren Zeitschritt in den Ergebnissen fortzusetzen, wählen Sie im Dropdown-Menü Neustart der Analyse beginnen die Option Beim letzten vollendeten Schritt beginnen aus. Um die Analyse von einem anderen Zeitschritt aus fortzusetzen, wählen Sie die Option Zum festgelegten Zeitpunkt aus, und geben Sie den Zeitpunkt an.
Eine alternative Methode zum Ausführen von Neustartanalysen finden Sie auch weiter oben unter Vorgegebene Knotentemperaturen.
Wenn ein Modell Strahlungslasten oder temperaturabhängige Eigenschaften (Konvektion, Materialien usw.) enthält, umfasst die Lösung einen nichtlinearen iterativen Prozess zum Bestimmen der entsprechenden Temperaturen. Diesen Prozess können Sie in dem Dialogfeld Analyseparameter auf der Registerkarte Fortgeschritten steuern.
Wenn eine der oben erwähnten Bedingungen in Ihrem Modell vorkommt, aktivieren Sie das Kontrollkästchen Durchführen. Sie können über das Feld Maximale Anzahl der Iterationen festlegen, wie oft der Prozessor die Lösung wiederholen kann. Die Lösung nach dieser Anzahl an Iterationen wird als das Analyseergebnis verwendet. In einigen Fällen wird eine angemessene Lösung konvergiert, bevor die maximale Anzahl der Iterationen erreicht ist.
Es gibt fünf Optionen, um zu entscheiden, den iterativen Prozess anzuhalten. Sie können diese in der Dropdown-Liste Kriterien auswählen. Wenn die Option Alle N-Iterationen durchführen ausgewählt ist, werden alle im Feld Maximale Anzahl der Iterationen angegebenen Iterationen ausgeführt. Wenn die Option Ende bei korrektiver Norm < E1 (Fall 1) ausgewählt ist, werden die Iterationen angehalten, wenn die korrektive Norm kleiner ist als der Wert im Feld Korrekturtoleranz. Wenn die Option Ende bei relativer Norm < E2 (Fall 2) ausgewählt ist, werden die Iterationen angehalten, wenn die relative Norm kleiner ist als der Wert im Feld Relative Toleranz. Wenn die Option Ende wenn entweder Fall 1 oder 2 ausgewählt ist, werden die Iterationen angehalten, wenn entweder die korrektive Norm kleiner ist als der Wert im Feld Korrekturtoleranz oder wenn die relative Norm kleiner ist als der Wert im Feld Relative Toleranz. Wenn die Option Stopp, wenn sowohl Fall 1 als auch Fall 2 ausgewählt ist, werden die Iterationen angehalten, wenn die korrektive Norm kleiner ist als der Wert im Feld Korrekturtoleranz und wenn die relative Norm kleiner ist als der Wert im Feld Relative Toleranz.
Es gibt zwei bzw. vier Werte, die zur Bestimmung der Qualität der Konvergenz berechnet werden. Der erste Wert ist die korrektive Norm. Die korrektive Norm wird wie folgt berechnet:

Wenn numnp die Gesamtanzahl der Knoten im Modell ist, ist T alt die Temperatur aus der vorherigen Iteration und T neu die Iteration der aktuellen Iteration. Diese Norm ist mit dem Temperaturunterschied zwischen den Iterationen verbunden, daher die Bezeichnung korrektive Norm.
Der zweite Wert für die Konvergenz ist die relative Norm. Diese wird wie folgt berechnet:

Diese Norm ist mit dem relativen Temperaturwechsel zwischen den Iterationen gleichzusetzen, daher die Bezeichnung relative Norm. Das Feld Korrekturtoleranz kann verwendet werden, um den maximalen Wert für die korrektive Norm festzulegen. Das Feld Relative Toleranz kann verwendet werden, um den maximalen Wert für die relative Norm festzulegen.
Wenn die Analyse Strahlung von Körper zu Körper umfasst, basiert die Konvergenz zudem auf dem Wärmestrom. Beinhaltet die Analyse einen Phasenwechsel, basiert die Konvergenz zusätzlich auf dem flüssigen Anteil. Die Gleichungen für die korrektiven und relativen Normen basierend auf dem Wärmestrom und dem flüssigen Anteil sind dieselben wie oben (die Temperaturen werden durch Wärmeströme oder flüssigen Anteil ersetzt).
Die Temperatur eines Knotens nach einer Iteration, T neu , kann höher oder niedriger als der endgültige konvergierte Wert sein. Das bedeutet, dass Sie diesen Wert möglicherweise nicht als Eingabe für die nächste Iteration verwenden möchten. Der Wert im Feld Relaxationsparameter kann verwendet werden, um diese Oszillationen zu minimieren. Der Relaxationsparameter wird wie folgt verwendet:
T akt = T alt + (Relaxationsparameter) * (T neu - T alt )
Die Beziehung zwischen den verschiedenen Ergebnissen ist grafisch aufbereitet in Abbildung 1 dargestellt. T akt , und daher auch die Wirkung des Relaxationsparameters, ist der in die Ergebnisdatei ausgegebene Wert.

Abbildung 1: Grafische Interpretation des Relaxationsparameters
Ein Relaxationsparameter zwischen 0,8 und 1 bietet eine gute Konvergenz, wenn die nichtlinearen Auswirkungen gering bleiben. Wenn große nichtlineare Auswirkungen vorhanden sind, wie z. B. Strahlung bei hohen Temperaturen, muss der Relaxationsparameter möglicherweise im Bereich von 0,1 bis 0,3 liegen, um die Oszillationen zu glätten. Der Konvergenzverlauf kann in der Protokolldatei eingesehen werden.
Ein Teil der Analysezeit bei einer transienten Wärmeübertragungsanalyse entfällt auf die Erstellung der Steifheitsmatrix bei jedem Zeitschritt. In einigen Fällen muss diese Matrix nicht bei jedem Zeitschritt neu berechnet werden. Eine Neuberechnung alle zwei Zeitschritte reicht möglicherweise aus (Sie sparen so Berechnungszeit). In Einzelfällen ist es nicht erforderlich, die Matrix zu aktualisieren.
Wie oft die Matrix neu berechnet wird, geben Sie im Feld Anzahl der Zeitschritte zwischen Umgestaltungen der Matrix auf der Registerkarte Erweiterte an. Die folgenden Faktoren erfordern eine häufige Neuberechnung der Matrix (alle ein bis zwei Zeitschritte), um genaue Ergebnisse zu erhalten:
Wird diese auf 0 eingestellt, wird die Matrix zu Beginn der Analyse berechnet und anschließend nicht mehr aktualisiert.
Es gibt zwei Methoden für die Handhabung von verklebten Verbindungen. Welche Methode verwendet wird, hängt teilweise davon ab, ob die Knoten zwischen den beiden Bauteilen abgeglichen werden oder nicht.
Durch Aktivieren der Option Intelligenter verklebter/verschweißter Kontakt ein werden falls nötig Mehrpunkt-Abhängigkeitsgleichungen (MPCs) zum Verkleben der Knoten auf Bauteil A, Fläche B mit den nächsten Knoten auf Bauteil C, Fläche D verwendet. Formfunktionen interpolieren die Temperaturen an den Knoten auf Fläche B zu den Knoten auf Fläche D. Daher müssen die Netze keinen Abgleich zwischen den Bauteilen aufweisen. Die MPCs werden für alle Knoten auf dem Flächenkontaktpaar verwendet, wenn ein Knoten nicht abgeglichen ist. Wenn die Netze an allen Knoten abgeglichen sind, wird mit dem Knotenabgleich die Kontaktfläche verklebt. Die beiden Knoten auf den angrenzenden Bauteilen werden zu einem Knoten zusammengefasst, und MPC-Gleichungen werden für die Kontaktflächen nicht verwendet. Die Optionen für die Dropdown-Liste zum intelligenten Verkleben sind wie folgt:
Die Option zur intelligenten Verklebung gilt für verklebte Kontakte und verschweißte Kontakte. Für andere Kontakttypen (außer Frei) müssen die Knoten übereinstimmen. (Weitere Informationen zur Definition von Kontakten und zur Verwendung von intelligenten Verbindungen finden Sie auf der Seite Überblick über Vernetzung: Erstellen von Kontaktpaaren: Kontakttypen.
Bei der intelligenten Verklebung wird zum Lösen der Analyse standardmäßig die Kondensierungsmethode eingesetzt. Wenn die Analyse nicht konvergiert oder nicht den Erwartungen entspricht, können Sie eine andere Lösungsmethode für MPC-Gleichungen verwenden (siehe Mehrpunkt-Abhängigkeiten). Klicken Sie auf Setup
Lasten
Mehrpunkt-Abhängigkeit, und wählen Sie unter Lösungsmethode eine Option aus. Wenn Sie die Strafmethode verwenden, wird die Genauigkeit der Lösung vom Feld Pönale gesteuert. Die Pönale multipliziert mit der maximalen diagonalen Steifheit im Modell wird für die Straflösung verwendet. Ein Wert im Bereich von 10
4
bis 10
6
wird empfohlen.
Wenn die Option Intelligenter verklebter/verschweißter Kontakt ein nicht aktiviert ist, werden die Bauteile nur verklebt, wenn die Knoten zwischen den Bauteilen abgeglichen sind.