Un ingegnere tedesco, Albert, ha eseguito le prime analisi note della fatica all'inizio del XIX secolo. In precedenza era assodato che un materiale soggetto a caricamento ripetuto alla fine subirà dei danni. Tuttavia, fu il guasto diffuso degli assali dei vagoni ferroviari dopo molti chilometri di funzionamento in apparenza senza problemi che iniziò ad attirare l'attenzione sul fenomeno in seguito conosciuto come fatica.
La maggior parte dei componenti o delle strutture ingegneristiche subisce una forma di caricamento ciclico. Un guasto di tali componenti in genere indica l'inizio della formazione di piccole fenditure che successivamente arrivano a formare fenditure di grandi dimensioni e guasti catastrofici. La formazione della fenditura inizia con livelli di sollecitazione ben al di sotto della sollecitazione allo snervamento monotonica del materiale. Nel corso del tempo, i danni (ripetuti) si accumulano fino a un eventuale guasto. È stato suggerito in molti casi che oltre il 90% dei guasti strutturali si verifica come risultato di danneggiamento da fatica.
Esistono due approcci di base per stimare il numero di ripetizioni di un carico ciclico che un materiale o un componente può sostenere.
I primi metodi utilizzavano dati dei materiali raccolti nel XIX secolo da Wholer. Questa tecnica correlava la sollecitazione in un componente a una curva empirica, nota come curva S-N (o curva di Wholer) in modo da ottenere una stima del numero di cicli prima dell'errore. Questa tecnica è ancora utilizzata oggi ed è comunemente nota come approccio alla durata della sollecitazione. Questa tecnica utilizza la sollecitazione di un componente e parte dal presupposto che la sollecitazione rimane nella regione di elasticità del materiale. Di conseguenza, è più adatta per i guasti da fatica in cui sono necessari oltre 100.000 cicli prima del guasto.
La seconda tecnica, più moderna, utilizza la deformazione del materiale per prevedere un guasto. Le curve che mettono in relazione la deformazione con i cicli possono essere preparate da test o formule empiriche simili a quelle utilizzate per l'approccio alla durata della sollecitazione. Il vantaggio principale con questa tecnica è che la curva di durata della deformazione rappresenta lo stato di deformazione locale del componente ed è responsabile della deformazione plastica locale. Ciò aumenta considerevolmente la precisione della previsione della durata in corrispondenza dei livelli di caricamento in cui si verifica lo snervamento locale.
La Procedura guidata Fatica utilizza entrambe le tecniche per prevedere la durata della fatica.
Definizione di caricamento
Il danno da fatica è causato dal caricamento di una struttura con carichi ripetuti per un determinato periodo di tempo. Per analizzare il guasto da fatica è necessario definire il carico applicato. Nella Procedura guidata Fatica, è possibile definire due tipi di caricamento di base, di cui la forma più semplice è l'armonica ad ampiezza costante.
Questo caricamento è descritto in modo completo dalla definizione dell'ampiezza di una sollecitazione sa e di una sollecitazione media sm. Il ciclo di ripetizione è il periodo di un'unica armonica, ovvero è costituito dai punti 1-2-3-4 nella Figura 1.

Figura 1 Caricamento armonica ad ampiezza costante
Il secondo tipo di caricamento, un caso più generale, è il carico ad ampiezza variabile.

Figura 2 Caricamento ad ampiezza variabile
Il caricamento ad ampiezza variabile costituito da numerosi cicli singoli ad ampiezza costante. Questi cicli singoli possono avere ognuno ampiezza e media diversa e possono essere sovrapposti o conseguenti. Nella figura 2 è illustrato un esempio semplice di carico ad ampiezza variabile. È possibile osservare che esistono due cicli semplici: 1-2-5-6 formano un unico ciclo con ampiezza di grandi dimensioni su cui è sovrapposto il ciclo di dimensioni inferiori 3-4-3. Un caricamento ad ampiezza variabile pertanto può essere suddiviso in una serie di carichi ad ampiezza costante più semplici. Quindi essi vengono utilizzati nell'analisi della fatica per prevedere il danno.
Se un carico ad ampiezza variabile deve essere utilizzato per il calcolo della fatica, è necessario applicare un metodo per estrarre i "cicli secondari". La Procedura guidata Fatica lo applica in base a un algoritmo di conteggio rainflow standard.
Conteggio rainflow e danno da fatica
Entrambe le tecniche di durata della deformazione e di durata della sollecitazione per la previsione dei guasti da fatica si basano sulla curva di danno di un unico ciclo. Questa curva di danno mette in relazione il numero di ripetizioni con l'ampiezza della sollecitazione o della deformazione per un unico ciclo semplice. La curva può essere utilizzata direttamente se il caricamento strutturale è di tipo semplice ad ampiezza costante. Tuttavia, se viene definito un caricamento ad ampiezza variabile, è necessario seguire diversi passaggi per calcolare una durata per il carico applicato.
Prima vengono selezionati picchi e valli della cronologia di carico. Questo processo consente di esaminare la cronologia temporale per trovare punti che non sono punti di "inversione" e scartarli, riducendo quindi i dati superflui. Successivamente la cronologia temporale ridotta viene elaborata con un algoritmo di conteggio rainflow standard, che consente di estrarre singoli cicli. Questi cicli singoli vengono quindi utilizzati con le curve di danno dei cicli singoli per calcolare una durata per ogni ciclo.
Dopo il calcolo della durata di ogni singolo ciclo nella cronologia temporale, è necessario un metodo per determinare il danno cumulativo o la durata totale. La Procedura guidata Fatica utilizza la "regola di Miner" documentata in modo approfondito. Questa regola afferma che il danno totale accumulato per una cronologia di carico è la somma lineare del danno dei singoli cicli.

o

dove N rappresenta la durata in ripetizioni e D il danno.
Tecnica della durata della sollecitazione
La tecnica della durata della sollecitazione utilizza la curva di danno di un singolo ciclo, nota come curva SN. La curva mette in relazione l'ampiezza con il numero di cicli prima di un errore. Poiché questa tecnica è stata utilizzata in modo diffuso da molti anni, tali curve e i dati del materiale ad esse relativi sono facilmente accessibili. Il valore di sollecitazione utilizzato con la curva dipende dai dati rappresentati nella curva e in una certa misura dalla discrezione dell'ingegnere. La versione monoassiale della Procedura guidata Fatica utilizza nei calcoli la sollecitazione "principale assoluta peggiore", poiché la direzione delle sollecitazioni è considerata costante.
La Procedura guidata Fatica genera la curva SN internamente dall'immissione dei dati del materiale effettuata dall'ingegnere. I dati richiesti sono la resistenza a trazione monotonica del materiale e un "limite di fatica".

Figura 3 Curva SN
La curva SN prende la forma illustrata nella Figura 3. Le curve SN sono sempre stampate su scale log-log, come mostrato. La curva inizia dai sut della resistenza a trazione monotonica presso log(N)=1. Quindi è comune approssimare l'intervallo a un valore di 1000 cicli mediante una linea retta con un valore di 90% di sut. La pendenza principale della curva SN si estende dal punto di cicli 1000 ad un valore di durata corrispondente al "limite di fatica" e ad un'ampiezza della sollecitazione equivalente da inviare. Il comportamento oltre il limite di fatica quindi dipende dal fatto che il materiale sia una lega ferrosa o una lega non ferrosa. È tipico dell'acciaio mostrare un limite di fatica reale e un appiattimento della curva SN. Al contrario, le leghe di alluminio e altre leghe non ferrose mostrano un appiattimento meno marcato della curva SN a cicli elevati. La Procedura guidata Fatica consente di distinguere questi due casi.
Effetti della sollecitazione media
In genere si sottopongono le curve SN presenti a un test completamente reversibile. Ciò significa che alle sollecitazioni è applicato un ciclo tra stati uguali di trazione e di compressione. Nel carico strutturale realistico, è più comune per i carichi ciclici oscillare intorno a uno stato medio diverso da zero. Questo stato medio diverso da zero ha un notevole effetto sulla durata prima del guasto. È necessario un metodo per considerare la presenza di una sollecitazione media del ciclo quando si utilizzano i dati SN standard.
La Procedura guidata Fatica consente di calcolare la durata della fatica utilizzando le correzioni "no-mean", "Gerber" e "Goodman".
Concentrazione della sollecitazione
È normale per le analisi FE modellare e calcolare esplicitamente le sollecitazioni nelle aree di concentrazione locale, in modo che qualsiasi scalatura della sollecitazione nominale non sia necessaria. Tuttavia, se è necessaria una scalatura lineare delle sollecitazioni FE calcolate, la Procedura guidata Fatica fornisce un fattore di scalatura generale Kt.
se = Kt.snominal
Dove se = sollecitazione elastica scalata
Modificatori del limite di fatica
I dati della curva SN in genere sono presentata da test su esemplari lucidati di dimensioni standard. L'applicazione di questi dati di test di "laboratorio" a componenti di costruzione reali a volte richiede una correzione. Le correzioni di solito hanno forma di "modificatori" applicati al limite di fatica dell'esemplare.
È possibile applicare i modificatori per tenere in considerazione le dimensioni, la finitura della superficie, i fattori di sollecitazione, i trattamenti della superficie, il tipo di caricamento e altro. I modificatori sono documentati in modo approfondito in molti testi ingegneristici e sono disponibili per l'ingegnere, se necessario.
send-modified = send . nsize . nsurface …
dove n rappresenta il modificatore appropriato
La Procedura guidata Fatica fornisce modificatori standard per effetti di finitura della superficie ed effetti statistici e un modificatore generale per l'immissione di un valore combinato calcolato. La Procedura guidata Fatica consente di modificare la curva SN con la messa in scala del limite di fatica dell'esemplare come indicato precedentemente e la rotazione della curva SN attorno al punto dei 1000 cicli.

Figura 4
Tecnica di durata della deformazione
La tecnica di durata della deformazione è stata sviluppata negli anni Sessanta come miglioramento della tecnica di durata della sollecitazione per prevedere i guasti da fatica nel materiale sottoposto alla deformazione plastica. Il principio è lo stesso, poiché l'ampiezza della deformazione (anziché della sollecitazione) viene misurata o calcolata per un carico ciclico e confrontata a un grafico empirico dell'ampiezza della deformazione rispetto alla durata. Il vantaggio rispetto all'approccio di durata della sollecitazione è l'assenza di presupposti inerenti relativi alla deformazione elastica totale nei dati dei test.
Curva di durata della deformazione
Le curve di durata della deformazione descrivono il comportamento degli esemplari testati in laboratorio. Gli esemplari in genere vengono analizzati sotto un carico di deformazione controllato completamente invertito e correlato alla durata prima dell'inizio della fenditura. Viene stampata una curva empirica dell'ampiezza della deformazione rispetto ai cicli prima del guasto.
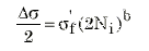
Per livelli di deformazione bassi in cui la deformazione è completamente elastica, il comportamento della fatica è correlato all'ampiezza della sollecitazione e

Dove sf rappresenta il coefficiente di resistenza a fatica e b è l'esponente della resistenza a fatica, entrambi estratti dall'adattamento log-log dell'ampiezza della sollecitazione rispetto alla durata.
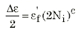
Per livelli superiori di deformazione dove la deformazione è prevalentemente plastica, il comportamento della fatica è correlato meglio con l'ampiezza della deformazione in modo che

Dove ef è il coefficiente di duttilità della fatica e c è l'esponente della duttilità della fatica, entrambi estratti dall'adattamento log-log dell'ampiezza della deformazione plastica rispetto alla durata.
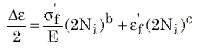
La curva della deformazione generale o curva di Coffin-Manson viene quindi descritta come una combinazione di queste due curve singole di linea retta, tale che


Figura 5 Curva di durata della deformazione con ampiezza costante. Relazione di Coffin-Manson.
Approssimazione di vari coefficienti di durata della deformazione che non sono disponibili
Sono disponibili vari metodi per approssimare i dati del materiale basato sulla deformazione dai dati monotonici più facilmente reperibili, ad esempio resistenza a trazione, modulo e altro. Il metodo utilizzato dalla Procedura guidata Fatica è il metodo utilizzato da Seeger/Beste. È disponibile in molti testi sul calcolo della fatica basato sulla deformazione. Questa tecnica consente di approssimare la curva della durata della deformazione (coefficienti basati sulla deformazione) mediante le seguenti formule:
Acciaio:
Altri:
Correzione della sollecitazione media
La curva della durata ad ampiezza costante descritta in precedenza viene generata attraverso test del materiale con caricamento completamente invertito, ovvero con spostamento medio pari a zero. In cicli di caricamento tecnico realistici, è presente inevitabilmente con una deformazione diversa da zero.
Per correggere l'esistenza di una media diversa da zero nel ciclo di deformazione, la Procedura guidata Fatica utilizza due correzioni della curva di durata della deformazione semplice, ovvero la correzione Morrow e la correzione Smith-Watson-Topper.
Curva di durata della deformazione con correzione Morrow

Curva di durata della deformazione con correzione SWT

Dati del materiale elastico-plastico
Poiché i dati di durata della deformazione vengono estratti dai materiali, che sono soggetti a caricamento ciclico oltre il limite di elasticità, è necessario definire una curva del materiale di sollecitazione-deformazione ciclica.
La Procedura guidata Fatica utilizza due formule empiriche ampiamente documentate per la definizione di una curva di sollecitazione-deformazione ciclicamente stabile.
La curva di sollecitazione-deformazione ciclica è realizzata utilizzando la relazione Ramberg-Osgood per determinare le costanti K' e n' del materiale. Ovvero il coefficiente di incrudimento ciclico e l'esponente di indurimento ciclico.
Relazione Ramberg-Osgood

Per generare una curva di sollecitazione-deformazione ciclica completa, è utilizzata la teoria di Masing in modo che:

Attraverso la combinazione di queste due relazioni è possibile generare un ciclo di isteresi completo della curva di sollecitazione-deformazione ciclicamente stabile dalle costanti di due materiali.

Figura 6 Curva di sollecitazione-deformazione ciclicamente stabile
Correzione di Neuber
Molti codici di fatica basati su FE utilizzano i risultati delle analisi FE elastiche. Ciò consente di eseguire calcoli FE relativamente semplici senza sostenere spese e sprecare tempo per l'esecuzione di soluzioni non lineari. Se è necessario eseguire in seguito un calcolo della durata basata sulla deformazione utilizzando queste sollecitazioni elastiche, utilizzare un metodo per la conversione della sollecitazione elastica basata su FE in una sollecitazione (e deformazione) elastica-plastica equivalente.
Dei molti metodi proposti per questa conversione, la Procedura guidata Fatica utilizza il più comune, la correzione di Neuber.
Approccio di durata della sollecitazione.
Approccio di durata della deformazione