Обобщенная задача на собственные значения определяется следующим образом:
K φ - λM φ = 0,
где K, M - матрица жесткости и матрица масс соответственно, {φ, λ} – собственные пары (форма свободных колебаний и собственное значение).
Вводятся два типа остаточных векторов:

где {φ, λ} обозначают вычисленные собственные пары, которые включают определенные ошибки вычислений. Первое выражение задает остаточный вектор в терминах сил, второе – в терминах перемещений.
В программе применяются три различных критерия оценки ошибок расчета для собственных векторов:


на каждом из 20 шагов Ланцоша при расчете методом Ланцоша для сейсмического режима. Параметр Допуск в диалоговом окне Параметры модального расчета игнорируется.
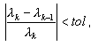
. Параметр Допуск в диалоговом окне Параметры модального расчета. Итеративное решение задает верхнюю границу значения ε, таким образом, условие ε ≤ tol является условием прекращения итераций. Точность не следует путать с допуском, определяемым в диалоговом окне Параметры Модального расчета при использовании в модальном расчете прямых решателей. Допуск в процессе вычислений определяется по следующей формуле:

где λk, λk-1- два последовательных собственных значения на k, k-1 шаге итераций, а tol означает допуск, заданный в диалоговом окне Параметры модального расчета. Определение окончательной точности расчета (1-3) занимает много времени. Эта процедура выполняется на последнем этапе модального расчета как проверка полученной точности. Точность расчета может быть повышена при уменьшении значения tol допуска. Это приведет к увеличению числа итераций.
Если точность вычисления каких-либо форм по окончании расчета оказывается недостаточной, то необходимо сделать следующее:
|
ПРЯМЫЕ РЕШАТЕЛИ |
ИНТЕРАЦИОННЫЕ РЕШАТЕЛИ |
|||
|---|---|---|---|---|
|
Итерации в подпространствах, блочная итерация в подпространствах, метод Ланцоша |
Метод редукции базиса |
Модифицированный метод Ланцоша |
PCG_Ritz |
PCG |
|
Уменьшение значения tol в диалоговом окне Параметры модального расчета |
Увеличение числа основных узлов и основных направлений |
Уменьшение значения tol в диалоговом окне Параметры итерационного решения и увеличение числа форм |
Увеличение числа форм |
Уменьшение значения tol в диалоговом окне Параметры модального расчета |
См. также: