외부 압축성 흐름은 다음 두 가지 범주로 분류할 수 있습니다.
- 열린 공기 영역의 항공 역학 응용 분야(고도 또는 해수면)
- 풍동의 기체 역학 응용 분야
내부 흐름과 달리, 두 유형 모두 장치 위를 통과하거나 장치 주변을 이동하는(통과하지 않음) 흐름과 관련되어 있습니다. 예로는 날개, 미사일 또는 항공기 나셀 위를 통과하는 흐름이 있습니다.
열린 공기 및 풍동 해석 전략은 영역 크기 및 일반적인 입구 조건에 따라 약간 다를 수 있습니다.
압축성 열린 공기 흐름
열린 공기 응용 분야에서 솔루션 영역은 모형의 일부로 정의되어 있지 않습니다(풍동과 다름). 장치 치수에 따라 영역 크기를 구동하는 몇 가지 기본적인 지침이 있습니다. 이것은 지침일 뿐이며 상황에 따라 달라질 수 있습니다.
- 입구:객체의 속도 및 정적 압력(P = 0)(열 전달을 해석하는 경우 총 온도)을 적용합니다.
- 출구: 알 수 없는 조건 지정
- 영역 높이가 20y보다 작은 경우(위 참조), 원거리 경계에 슬립 조건을 지정합니다. 경계가 20y 이상인 경우 원거리 경계를 미지정 상태로 두어 벽으로 만들거나 자유 스트림 속도를 지정합니다. 후자는 흐름을 더 빠르게 만들지만 충격이 발생할 경우 수렴 문제가 발생합니다.
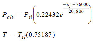
- 고도에 따라 올바른 재료 특성을 사용하려면 환경 압력(및 열 전달이 중요한 경우 환경 온도)을 수정합니다. (설계 연구 막대의 재료 분기를 마우스 오른쪽 버튼으로 클릭하고 환경 참조 편집...을 선택합니다.) 아래 공식은 고도에 따른 참조 압력 및 온도를 계산하는 방법을 보여 줍니다.
-1000ft < hp < 36,000ft:
hp = 고도(피트)
Palt = 고도에 따른 정적 압력
Talt = 고도에 따른 정적 온도
Psl = 해수면에서의 압력
TSL = 해수면에서의 온도
36,000ft < hp < 65,000ft:
열 전달을 해석하지 않는 경우 해석 작업 대화상자에서 총 온도를 지정해야 합니다. 총 온도는 다음 방정식을 사용하여 계산됩니다.
압축성 풍동 흐름
일반적으로 블로우 다운 탱크에서 입구로 흐름이 제공됩니다.
- 입구 지정: 총 압력(Pt)을 지정합니다. (총 압력은 탱크 내의 움직이지 않는 공기의 정적 압력이 됩니다.) 속도를 알고 있는 경우 속도도 지정합니다.
- 출구: 정적 압력(P = 0)을 지정합니다.
- 환경 압력을 풍동의 대기 압력으로 지정합니다.
- 설계 연구 막대에서 재료 분기를 마우스 오른쪽 버튼으로 클릭하고 환경 참조 편집...을 선택합니다.
- 재료 환경 대화상자에서 압력을 지정합니다.
- 열 전달의 경우 입구의 총 온도를 지정합니다.
받음각
객체의 진입 각도가 흐름에 상대적인 경우 객체 대신 계산 영역의 방향을 다시 지정하는 것이 좋습니다. 영역 방향은 자유 스트림 속도 측면과 영역 측면이 평행이 되도록 유지해야 합니다.
재료 환경
모든 케이스에 대해 재료 환경 대화상자에서 가변을 선택합니다.
- 재료 빠른 편집 대화상자의 환경 선에서 편집을 클릭합니다. (또는 설계 연구 막대에서 재료 이름 분기를 마우스 오른쪽 버튼으로 클릭합니다.)
- 재료 환경 대화상자에서 가변을 선택합니다.
시뮬레이션 권장 사항
다음과 같은 기술을 사용하여 항력 계산의 정확도를 높이는 것이 바람직합니다.
- 객체 주위 영역은 매우 미세한 메쉬로 메슁해야 합니다. 더 많은 유선형 물체에서는 빠르게 변화하는 압력 계수를 캡처하기 위해 물체 정체점 근처의 메쉬가 상당히 미세해야 합니다.
- SST K-오메가 난류 모형을 호출합니다.
- 해석 대화상자를 열고 물리학 탭에서 난류를 클릭합니다.
- 난류 모형 메뉴에서 SST K-오메가를 선택합니다.
- 벽 레이어 대화상자에서 최소 10개의 레이어를 지정합니다.
- 설정 > 설정 작업 > 메쉬 크기 조정을 클릭합니다.
- 상황에 맞는 메뉴에서 벽 레이어를 클릭합니다.
- 레이어 수 슬라이더를 10으로 끕니다.
- ADV5 대류항 계산법을 호출합니다.
- 해석 대화상자를 열고 컨트롤 탭에서 솔루션 컨트롤을 클릭합니다.
- 솔루션 컨트롤 대화상자에서 대류항을 클릭합니다.
- 리스트에서 ADV 5를 선택합니다.
- 메쉬 적응을 사용으로 설정합니다. 이 옵션은 시뮬레이션의 여러 반복을 통해 메쉬를 점진적으로 미세 조정합니다. 그 결과 메쉬 독립적 솔루션이 완성됩니다. 이 옵션은 계산이 복잡할 수 있으며, 메쉬의 단일 실행보다 더 오래 걸릴 수 있습니다.
- 해석 대화상자에서 적응 탭을 클릭합니다.
- 적응 사용을 선택합니다.
관련 항목
내부 압축성 흐름
외부 압축성 흐름 해석