La simulación de viento no da como resultado resultados totalmente estables, ya que es un proceso dinámico que cambia con el tiempo.
Para solucionar este problema, el programa mide la convergencia total de las fuerzas resultantes durante un período de tiempo específico.
. 
. 
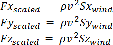
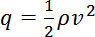
. Las fuerzas resultantes dependen del tamaño del modelo. Para ajustar correctamente la escala de las fuerzas resultantes, el programa utiliza la presión dinámica 
 y los valores de superficie 
, 
 y 
. 
Los valores de superficie se utilizan para ajustar la escala de los esfuerzos correspondientes.
Este enfoque permite neutralizar las desproporciones del modelo en las direcciones del viento x, y y z.
 representa la presión dinámica en pascales. 
 representa la densidad del fluido en kg/m3 . 
 representa la velocidad del fluido en m/s. 
 corresponde al área cubierta por la proyección de todos los triángulos del modelo en el plano perpendicular a la dirección del viento X. 
 corresponde al área cubierta por la proyección de todos los triángulos del modelo en el plano perpendicular a la dirección del viento Y. 
 corresponde al área cubierta por la proyección de todos los triángulos del modelo en el plano perpendicular a la dirección del viento Z. Los esfuerzos de homotecia se calculan de la siguiente manera:

Para medir la convergencia total de fuerzas en un período de tiempo específico, las fuerzas resultantes 
, 
 y 
 se calculan y almacenan para una serie de pasos n y, a continuación, el cambio máximo para un momento determinado se calcula de la siguiente manera: 

Donde 
, 
 y 
 representan los valores almacenados de 
, 
 y 
 para un paso determinado, y para i=1 a n. 
 A continuación, estos cambios máximos de esfuerzo se escalan mediante 
, 
 y 
 respectivamente y se muestran como un porcentaje. 
 La métrica final es el máximo de estos tres valores escalados: 

Donde 
 = 0,5%, es decir, el factor de desviación de carga por defecto. 
n es el número de pasos de simulación para los que 
, 
 y 
 se almacenan para compararlos con el paso actual. El valor por defecto para n es 10.