Basic Geometric Calculation for Bevel Gears
Input Parameters
Gear type - according to the position of root and head cone
Gear ratio and tooth numbers ![]()
Pressure angle (the angle of tool profile) α t
Helix angle β m
Axis angle Σ
Tangential module on outer cone met (for metric calculation)
Tangential Diametral Pitch on outer cone Pet (for English units)
Unit addendum height ha *
Unit clearance c *
Unit dedendum fillet r f *
Facewidths b 1 , b 2
Unit correction x = x 1 = - x 2
Unit change of tooth thickness x t = x t1 = - x t2
Auxiliary Geometric Calculations
Distribution of Unit Corrections for Single Gears
Design According to the Strength Calculation
Design of Face Width
Calculation of Maximum Dedendum Filleting
Calculated parameters
Normal Pressure Angle in Middle Plane
Pitch angle
Outside pitch diameter
Outside length of surface line on pitch cone
Length of surface line on the mean cone
Relative face width
Tangential module on the mean cone
Normal module on the mean cone
Mean pitch diameter
Equivalent number of teeth
Ekvivalent pitch diameter
Ekvivalent base diameter
Ekvivalent outside diameter
Ekvivalent center distance
Virtual gear ratio
Virtual number of teeth
Virtual pitch diameter
Virtual base diameter
Virtual outside diameter
Virtual helix angle at the base cylinder
Virtual center distance
Dedendum reduction
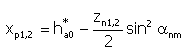
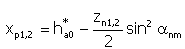
Addendum
Dedendum
Outside diameter
Root diameter
Outside diameter at small end
Vertex distance
Outside bevel angle
Cutting angle
Tooth thickness (measured normally on the pitch diameter)
Chordal facewidth (normal)
Addendum height above the chord
Unit addendum width (measured normally)
Operating width of gears
Factor of mesh duration
Minimum correction without tapering
Minimum correction without undercut
Minimum correction without undercut
Helix angle at end
Normal pressure angle at end
