• Help Home
  • English (US)
    1. English (US)
    2. 简体中文
    3. Deutsch
    4. Español
    5. Français
    6. Italiano
    7. 日本語
    8. Polski
    9. Português (Brasil)
    10. Русский
Robot Structural Analysis
    • What's New
    • Release Notes
    • Learning Resources
    • User's Guide
      • User's Guide
      • User Interface
      • Basic Workflow
      • Start a Project
      • Preliminary Setup
      • Prepare the Model
      • Create and Apply Structural Loads
      • Prepare the analysis
      • Run the analysis
      • Structure Analysis - Results
      • Steel/Timber Design
      • Reinforced Concrete Design
      • Printouts
      • Additional Tools
      • Additional Notes
        • Dynamic analysis
        • Combining objects - examples
        • Calculations of reinforcement of deep beams
          • Calculation of deep beam reinforcement - principles
          • Minimum thickness
          • Reinforcement
          • Main reinforcement
          • Vertical reinforcement
          • Horizontal reinforcement
          • Deep beam - load applied to the lower part
          • Deep beam - concentrated load applied
          • Deep beam in the Serviceability Limit State
          • Deep beam as a cantilever
          • Reinforcement of openings
      • Robot Structural Analysis Extensions
    Share
    • Email
    • Facebook
    • Twitter
    • LinkedIn
     
     

    Minimum thickness

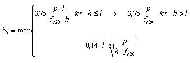
    The minimum thickness of a deep beam should equal

    If a deep beam is sufficiently stiffened longitudinally in both the upper and the lower zone (stiffening elements reach the supports), then the first condition should additionally cover the verification of the following relation:

    (p/h*fc28).

    Parent topic: Calculations of reinforcement of deep beams

    Was this information helpful?

    Except where otherwise noted, this work is licensed under a Creative Commons Attribution-NonCommercial-ShareAlike 3.0 Unported License. Please see the Autodesk Creative Commons FAQ for more information.

    • Privacy Statement
    • Legal Notices & Trademarks
    • Report Noncompliance
    • © 2025 Autodesk Inc. All rights reserved