Land Uses and Soil Types are used to calculate weighted averages for Catchment areas.
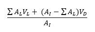
A weighted average from Land Uses is calculated by summing the product of each land use area and value and dividing that sum by the area of the catchment area. The area of each land use considered is only the area where it overlaps with the catchment area. If an area of the catchment area is not overlapped by any land use, it is treated as having the values provided by the default land use entry. The following equation is used for this calculation:
where:
AL = Area where a land use overlaps with the catchment area
VL = Value of the property for that land use
AI = Area of the catchment area
VD = Value of the property provided by the default land use entry
This is used to calculate weighted average for the preliminary percentage impervious and volumetric runoff coefficient properties, as well as the dynamic percentage impervious property for Time of Concentration, SCS, Santa Barbara Urban Hydrograph, Time Area Diagram and SWMM runoff methods, and the dynamic volumetric runoff coefficient (summer and winter if seasonal volumetric runoff coefficients are in use) for Time of concentration, Time Area Diagram, Green Roof and Modified Rational (Static) runoff methods. Any properties that are automatically calculated from these properties will be updated in turn.
Where soil types are also considered the same calculation is used, where each area considered is the overlapping area of the catchment area with both a land use and a soil type.
This is used to calculate the Pervious Area Curve Number property for the SCS, Santa Barbara Urban Hydrograph and SWMM runoff methods.

Calculation by weighted average